Баланс возобновляемой энергии океана
Основная доля энергии, поступающей в Мировой океан – результат поглощения им солнечного излучения. Энергия поступает в океан также в результате гравитационного взаимодействия космических тел и водных масс планеты, создающего приливы, и поступления тепла из глубины планеты. Поверхность Мирового океана занимает около 70 % поверхности всей планеты и составляет примерно 360 млн. км2. Большая часть этой поверхности постоянно свободна ото льда и хорошо поглощает солнечное излучение. В океанской воде примерно 65 % солнечного излучения поглощается первым метром водной толщи и до 90 % – десятиметровым слоем. В дневное время в низких широтах вода прогревается примерно на 10 м и более за счет процессов теплопроводности и турбулентного перемешивания (твердая поверхность суши прогревается не более чем на 0,5 м).
Запасенное океаном тепло частично в виде длинноволнового излучения (λ >10 мкм) переизлучается, а частично передается в атмосферу теплопроводным пограничным слоем и вследствие испарения. Относительная роль этих процессов различна для разных районов планеты, но на широтах от 70° с.ш. до 70° ю.ш. характеризуется примерно одинаковыми значениями: длинноволновое излучение в атмосферу и космическое пространство 41 %; передача тепла атмосфере за счет теплопроводности 5 %; потери на испарение 54 %.
За счет движения воздушных и водных масс запасенная океаном энергия переносится по всей планете, причем в области между экватором и 70° с. ш. в среднем 40 % тепла переносится океанскими течениями, а на 20° с. ш. вклад океана в перенос энергии составляет до 74%. Ежегодно с поверхности океана испаряется слой воды толщиной примерно 1 м (около 340·1012 т) и около 36·1012 т воды возвращается со стоком рек, ледников и т.п.
Примерно 2/3 суммарного солнечного излучения испытывают в океане и на поверхности суши различные изменения: преобразуются в тепло 43 %; расходуются на испарение, образование осадков 22 %; сообщение энергии рекам, ветру, волнам, различным видам течений в океане 0,2 %. Примерно 0,02 % всей энергии воспринятого солнечного излучения идет на образование продукции фотосинтеза и частично на образование ископаемого топлива.
Соизмерим с этой величиной суммарный поток энергии, поступающей из недр Земли и в виде приливной энергии. Выделить из указанных потоков те, что непосредственно имеют отношение только к океану, достаточно трудно. Для энергетики важны не абсолютные величины мощностей различных источников, а лишь та их часть, которую можно преобразовать в требуемые для хозяйственной деятельности виды энергии.
Сотрудниками океанографического института Скриппса (США) выполнены оценки суммарных и допустимых для переработки мощностей различных океанических источников энергии за пять лет – с 1977 по 1982 г. Соответствующие данные приведены на диаграммах рис. 12.1.1, на которых отмечены два уровня – суммарный и допускающий преобразование (заштрихован). Более поздние оценки сделаны с учетом целого ряда технологических и экологических факторов. Они, как правило, в части допустимой к использованию энергии оказались ниже.

При оценке возможностей приливной энергетики учтено, что работать на полную мощность ПЭС могут только в течение 30 % времени. Данные по океанским течениям получены с учетом 1 % допустимого замедления скорости течения. При оценке возможностей энергетического использования продукции океанского фотосинтеза приняты во внимание 50 % эффективности преобразования бурых водорослей в метан и возможность размещения соответствующих ферм в 20 % районов естественного апвеллинга. Апвеллинг – подъем глубинных вод, богатых биогенными веществами, играющими роль удобрений. Для прибрежных волновых генераторов установлены КПД 50 % и время работы 40 % годового бюджета времени. КПД преобразования градиента солености принят равным 3%, а градиента температур – 5 %, причем в последнем случае считается реальным разместить преобразователи на 2 % поверхности океана в тропической зоне. Для ветровых станций коэффициент преобразования энергии ветра принят равным 60%, и допустимым уровнем изъятия мощности считают 1 % мощности ветров, дующих на удалении от берега.
Немаловажны и такие «технологические» свойства океанских ресурсов энергии, как плотность энергии и стабильность источника энергии. Эти свойства определяют размеры будущих преобразователей, необходимые установленные мощности, режимы использования энергии.
Энергия течений и волн
Энергия всех стационарных течений и циркуляций в Мировом океане составляет величину около 1019 Дж/год. Наиболее мощные течения океана — потенциальный источник энергии. Современный уровень техники позволяет извлекать энергию течений при скорости потока более 1 м/с. При этом мощность от 1 м2 поперечного сечения потока составляет около 1 кВт. Перспективным представляется использование таких мощных течений, как Гольфстрим и Куросио, несущих соответственно 83 и 55 млн м3/с воды со скоростью до 2 м/с, и Флоридского течения (30 млн м3/с, скорость до 1,8 м/с).
Мощность W, которая переносится течением, определяется его скоростью u и площадью поперечного сечения S:
W = ρu3χS.
Эта мощность оказывается не очень концентрированной по сравнению с мощностью рассмотренных выше энергетических источников океана. Например, для случая течения Куросио при характерной скорости течения около 1 м/с, вертикальном размере течения около 100 м и горизонтальном размере 10 км мощность не превышает 1,0 ГВт. При этом нужно учесть коэффициент полезного действия технических средств преобразования энергии χ, который всегда меньше единицы.
Для океанской энергетики представляют интерес течения в проливах: Гибралтарском, Ла-Манш, Курильских. Однако создание океанских электростанций на энергии течений связано пока с рядом технических трудностей, прежде всего с созданием энергетических установок больших размеров, представляющих угрозу судоходству. Кроме того, такие установки на современном этапе не смогут конкурировать по эффективности с системами преобразования термальной энергии океана.
Определенный интерес представляет использование энергии поверхностных волн в океане. Общая мощность всех поверхностных волн в Мировом океане составляет около 2,7·1012 Вт, что соответствует суммарной энергии около 1020 Дж/год. Это достаточно большая величина, однако использование этой энергии затруднено ее малой поверхностной плотностью.
В основе работы волновых энергетических станций лежит воздействие волн на рабочие органы, выполненные в виде поплавков, маятников, лопастей, оболочек и т.п. Механическая энергия их перемещений с помощью электрогенераторов преобразуется в электрическую.
Ввиду низкой плотности волновой энергии ее используют в основном для питания маломощных потребителей длительного пользования, например надводных автономных буев, маяков, научных приборов и т.п.
Попутно крупные волновые станции могут быть использованы для волнозащиты морских буровых платформ, открытых рейдов, марикультурных хозяйств. Началось промышленное использование волновой энергии. В мире уже около 400 маяков и навигационных буев получают питание от волновых установок. В Индии от волновой энергии работает плавучий маяк порта Мадрас. В Норвегии с 1985 г. действует первая в мире промышленная волновая станция мощностью 850 кВт.
Исследования и разработки систем преобразования поверхностных волн океана ведутся в настоящее время в Великобритании, Франции, Японии.
В преобразователях волновой энергии обычно выделяют два контура: первый воспринимает воздействие волн и превращает их энергию в потенциальную или кинетическую энергию рабочего тела (чаще всего жидкого или газообразного); во втором контуре происходит преобразование энергии рабочего тела в электроэнергию (обычно посредством турбин).
Волновые энергетические станции (ВлЭС) отличаются от традиционных главным образом конструкцией первого контура. С этой точки зрения можно выделить две группы ВлЭС:
- установки, в которых волны воздействуют непосредственно на рабочее тело ВлЭС;
- установки, где воздействие волн передается через промежуточное звено, которое, используя свойство рычага, сжимает рабочее тело ВлЭС.
Первый контур перспективных ВлЭС первого типа («осциллирующий водный столб» (ОВС), «Каймей», «выпрямитель» Рассела) прост по конструкции и недорог, однако имеет невысокий КПД. Переменное и низкое давление рабочего тела на выходе (избыточное давление не может быть выше высоты столба воды в гребне) и, как следствие, невозможность объединения нескольких устройств первого контура для перехода на один преобразователь второго контура ведут к большим энергетическим потерям в нем и низкому качеству генерируемой электроэнергии.
ВлЭС второго типа («ныряющая утка» Солтера, «контурный плот» Коккерела и др.) — это громоздкие и сложные сооружения, имеющие высокий КПД преобразования энергии волн и сравнительно высокое давление рабочего тела на выходе, что позволяет объединять несколько устройств первого контура для перехода на один вторичный преобразователь. В результате снижаются энергетические потери во втором контуре и его удельная стоимость.
Станции с конструктивным решением типа ОВС (рис.6.6а) в настоящее время являются единственно применяемыми на практике. Цена вырабатываемой электроэнергии на такой установке остается высокой из-за низкого (0,17–0,23) КПД. Низкий КПД обусловлен тем, что турбина работает на низкопотенциальном и переменном по величине и направлению потоке воздуха.

Конструкция типа «ныряющая утка» (рис.6.6б) соответствует почти всем требованиям к ВлЭС и обладает очень высоким (до 0,9) КПД, но имеет проблемы на пути практического применения. Наличие узлов трения в соединениях «клювов» с валом установки и поршневых системах сжатия жидкого рабочего тела гидрогенератора, а также длинного вала, объединяющего множество «клювов» и работающего на излом, снижает надежность и долговечность установки.
Создание волновых электростанций определяется оптимальным выбором акватории океана с устойчивым запасом волновой энергии, эффективной конструкцией станции, в которую встроены устройства сглаживания неравномерного режима волнения. Опыт эксплуатации существующих установок показал, что вырабатываемая ими электроэнергия пока в 2–3 раза дороже традиционной, но в будущем ожидается значительное снижение ее стоимости.
Практическое использование энергии поверхностных волн возможно во многих районах Мирового океана. Для нашей страны наибольший интерес представляют районы северо-западной части Тихого океана, где значительные погодные возмущения обусловливают систематическое поверхностное волнение.
Преобразователи энергии волн
Преобразователи, отслеживающие профиль волны
В этом классе преобразователей остановимся в первую очередь на разработке профессора Эдинбургского университета Стефана Солтера, названной в честь создателя «утка Солтера». Техническое название такого преобразователя – колеблющееся крыло. Форма преобразователя обеспечивает максимальное извлечение мощности (рис. 12.3.1.1).

Волны, поступающие слева, заставляют утку колебаться. Цилиндрическая форма противоположной поверхности обеспечивает отсутствие распространения волны направо при колебаниях утки вокруг оси. Мощность может быть снята с оси колебательной системы с таким расчетом, чтобы обеспечить минимум отражения энергии. Отражая и пропуская лишь незначительную часть энергии волн (примерно 5%), это устройство обладает весьма высокой эффективностью преобразования в широком диапазоне частот возбуждающих колебаний (рис. 12.3.1.2).

Первоначально Солтером был создан макет достаточно узкополосного по частоте устройства. В волновом бассейне оно поглощало до 90 % падающей энергии. Первые испытания в условиях, близких к морским, были проведены в мае 1977 г. на оз. Лох-Несс. 50-метровая гирлянда из 20-метровых «уток» общей массой 16 т была спущена на воду и испытывалась в течение 4 месяцев при различных волновых условиях. В декабре того же года эта модель в 1/10 будущей величины океанского преобразователя была вновь спущена на воду и дала первый ток. В течение 3 мес одного из самых суровых зимних периодов модель первой английской волновой электростанции работала с КПД около 50 %.
Дальнейшие разработки Солтера направлены на то, чтобы обеспечить утке способность противостоять ударам максимальных волн и создать заякоренную гирлянду преобразователей в виде достаточно гибкой линии. Предполагается, что характерный размер реальной утки будет равен примерно 0,1λ , что для 100-метровых атлантических волн соответствует 10 м. Нить из уток протяженностью несколько километров предполагается установить в районе с наиболее интенсивным волнением западнее Гебридских островов. Мощность всей станции будет примерно 100 МВт.
Наиболее серьезными недостатками для «уток Солтера» оказались следующие:
- необходимость передачи медленного колебательного движения на привод генератора;
- необходимость снятия мощности с плавающего на значительной глубине устройства большой протяженности;
- вследствие высокой чувствительности системы к направлению волн необходимость отслеживать изменение их направления для получения высокого КПД преобразования;
- затруднения при сборке и монтаже из-за сложность формы поверхности «утки».
Другой вариант волнового преобразователя с качающимся элементом – контурный плот Коккерелла. Его модель также в 1/10 величины испытывалась в том же, что и «утка Солтера», году в проливе Солент вблизи г. Саутгемптона. Контурный плот – многозвенная система из шарнирно соединенных секций (рис. 12.3.1.3). Как и «утка», он устанавливается перпендикулярно к фронту волны и отслеживает ее профиль.

Детальные лабораторные испытания модели плота в масштабе 1/100 показали, что его эффективность составляет около 45 %. Это ниже, чем у «утки» Солтера (но плот привлекает другим достоинством: близость конструкции к традиционным судостроительным). Изготовление таких плотов не потребует создания новых промышленных предприятий и позволит поднять занятость в судостроительной промышленности.
Преобразователи, использующие энергию колеблющегося водяного столба
При набегании волны на частично погруженную полость, открытую под водой, столб жидкости в полости колеблется, вызывая изменения давления в газе над жидкостью. Полость может быть связана с атмосферой через турбину. Поток может регулироваться так, чтобы проходить через турбину в одном направлении, или может быть использована турбина Уэлса. Уже известны по крайней мере два примера коммерческого использования устройств на этом принципе – сигнальные буи, внедренные в Японии Масудой (рис. 12.3.2.1) и в Великобритании сотрудниками Королевского университета Белфаста. Более крупное и впервые включенное в энергосеть устройство построено в Тофтестоллене (Норвегия) фирмой Kvaernor Brug A/S. Основной принцип действия колеблющегося столба показан на рис. 12.3.2.2. В Тофтестоллене он используется в 500-киловаттной установке, построенной на краю отвесной скалы. Кроме того, национальная электрическая лаборатория (NEL) Великобритании предлагает конструкцию, устанавливаемую непосредственно на морском дне.

Главное преимущество устройств на принципе водяного колеблющегося столба состоит в том, что скорость воздуха перед турбиной может быть значительно увеличена за счет уменьшения проходного сечения канала. Это позволяет сочетать медленное волновое движение с высокочастотным вращением турбины. Кроме того, здесь создается возможность удалить генерирующее устройство из зоны непосредственного воздействия соленой морской воды.

Подводные устройства
Преимущества подводных устройств состоят в том, что эти устройства позволяют избежать штормового воздействия на преобразователи. Однако при их использовании увеличиваются трудности, связанные с извлечением энергии и обслуживанием.
Для примера можно рассмотреть преобразователь типа «бристольский цилиндр», относящийся к группе устройств, работающих под действием скоростного напора в волне. Наполненный воздухом плавучий корпус (цилиндр), имеющий среднюю плотность 0,6-0,8 т/м3, закреплен под водой на опорах, установленных на грунте. Цилиндр колеблется в волне, совершая движение по эллиптической траектории и приводя в действие гидравлические насосы, вмонтированные в опоры и преобразующие энергию движения цилиндра. Перекачиваемая ими жидкость может подаваться по трубопроводам на генераторную станцию, единую для нескольких цилиндров.
Одно из преимуществ идеи «бристольского цилиндра» то, что после настройки на оптимальную частоту он не отражает энергию других частот, а дает ей возможность распространяться далее, где ее могут поглотить другие преобразователи, например цилиндры с другой частотой.
Основы преобразования энергии волн
Огромные количества энергии можно получить от морских волн. Мощность, переносимая волнами на глубокой воде, пропорциональна квадрату их амплитуды и периоду. Поэтому наибольший интерес представляют длиннопериодные (T ≈ 10 с) волны большой амплитуды (a ≈ 2 м), позволяющие снимать с единицы длины гребня в среднем от 50 до 70 кВт/м.
Наибольшее число волновых энергетических устройств разрабатывается для извлечения энергии из волн на глубокой воде. Это наиболее общий тип волн, существующий при условии, что средняя глубина моря D превышает величину половины длины волны λ / 2.
Поверхностные волны на глубокой воде имеют следующие основные характерные особенности:
- волны являются неразрушающимися синусоидальными с нерегулярной длиной, фазой и направлением прихода;
- движение каждой частицы жидкости в волне является круговым (в то время как изменяющиеся очертания волн свидетельствуют о распространении волнового движения, сами по себе частицы не связаны с этим движением и не перемещаются в его направлении);
- амплитуда движения частиц жидкости экспоненциально уменьшается с глубиной.
- существенно, что амплитуда волны а не зависит от ее длины λ, скорости распространения c, периода T, а зависит лишь от характера предшествовавшего взаимодействия ветра с морской поверхностью.
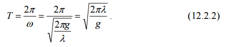
В волнах на глубокой воде нет поступательного движения жидкости. В подповерхностном слое жидкости ее частицы совершают круговое движение с радиусом орбиты a, равным амплитуде волны (рис. 12.2.1). Высота волны H от вершины гребня до основания равна ее удвоенной амплитуде (H = 2a). Угловая скорость движения частиц ω измеряется в радианах в секунду. Изменение формы волновой поверхности таково, что наблюдается поступательное движение, хотя сама вода не перемещается в направлении распространения волны (слева направо). Это кажущееся перемещение есть результат наблюдения фаз смещения последовательно расположенных частиц жидкости; как только одна частица в гребне опускается, другая занимает ее место, обеспечивая сохранение формы гребня и распространение волнового движения вперед.

Соотношение, устанавливающее зависимость между частотой и длиной для поверхностной волны на глубокой воде

Период движения волны
Скорость частицы жидкости в гребне волны
Скорость перемещения поверхности волны в направлении x определится как
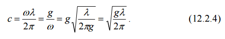
Скорость c называют фазовой скоростью распространения волн, создаваемых на поверхности жидкости. Эта величина не зависит от амплитуды волны и неявным образом связана со скоростью движения частиц жидкости в волне.
Полная кинетическая энергия на единицу ширины волнового фронта и единицу длины вдоль направления распространения волны равна

Нормированная потенциальная энергия волны равна в точности такой же величине

Полная энергия на единицу площади поверхности волны равна сумме кинетической и потенциальной энергий.

Выражение для энергии на единицу ширины волнового фронта и на единицу длины волны вдоль направления его распространения запишется в виде

Подставим λ из (12.2.1)
что с учетом (12.2.2)
Выражение для мощности, переносимой в направлении распространения волны на единицу ширины волнового фронта, имеет вид

С учетом (12.2.7) и (12.2.11) мощность P′ равна полной энергии (кинетическая + потенциальная) E в волне на единицу площади поверхности, умноженной на величину u = c/2 групповую скорость волн на глубокой воде, с которой волны переносят энергию. С учетом выражения для групповой скорости

Различие между групповой и волновой (фазовой) скоростями является общим для любых волновых процессов, для которых фазовая скорость зависит от длины волны (дисперсия).
Подставляя в (12.2.11) фазовую скорость в виде (12.2.4), получаем соотношение

Следовательно, мощность, переносимая волнами, увеличивается прямо пропорционально квадрату амплитуды и периоду. Именно поэтому для специалистов по океанской энергетике особенно привлекательны длиннопериодные волны, обладающие значительной амплитудой.
На практике волны оказываются совсем не такими идеализированно синусоидальными, как это подразумевалось выше. Обычно в море наблюдаются нерегулярные волны с переменными частотой, направлением и амплитудой. Поскольку результирующее волнение чаще всего нельзя представить суммой волн, действующих в одном направлении, то мощность, извлекаемая преобразователями направленного действия, будет значительно ниже той, которую переносят волны.
Использование энергии приливов и морских течений
Общие сведения об использовании энергии приливов
Приливные колебания уровня в огромных океанах планеты вполне предсказуемы. Основные периоды этих колебаний – суточные продолжительностью около 24 ч и полусуточные – около 12 ч 25 мин. Разность уровней между последовательными самым высоким и самым низким уровнями воды – высота прилива R. Диапазон изменения этой величины составляет 0,5-10 м. Первая цифра наиболее характерна, вторая достигается и даже превосходится лишь в некоторых особенных местах вблизи побережья континентов. Во время приливов и отливов перемещение водных масс образует приливные течения, скорость которых в прибрежных проливах и между островами может достигать примерно 5 м/с.
Поднятую на максимальную высоту во время прилива воду можно отделить от моря дамбой или плотиной в бассейне площадью A. Места с большими высотами приливов обладают большими потенциалами приливной энергии. Однако не только этот фактор важен для развития приливной энергетики: надо принимать во внимание и капитальные затраты, и будущую прибыль от создания соответствующих приливных электростанций (ПЭС).
Энергия приливных течений может быть преобразована подобно тому, как это делается с энергией ветра. Преобразование энергии приливов использовалось для приведения в действие сравнительно маломощных устройств еще в средневековой Англии и в Китае. Из современных ПЭС наиболее хорошо известны крупномасштабная электростанция Ранс мощностью 240 МВт, расположенная в эстуарии реки Ла Ранс, впадающей в залив Сен Мало (Бретань, Франция), и небольшая опытная станция мощностью 400 кВт в Кислой губе на побережье Баренцева моря (Россия). Из мест, которые давно приковывают внимание гидростроителей, следует назвать эстуарий реки Северн в Великобритании и залив Фанди на восточном побережье Северной Америки на границе между США и Канадой. Характеристики мест возможного строительства ПЭС в России приведены в таблице 13.1.1.

Высота, ход и периодичность приливов в большинстве прибрежных районов хорошо описаны и проанализированы благодаря потребностям навигации и океанографии. Поведение приливов может быть предсказано достаточно точно, с погрешностью менее 4%. Таким образом, приливная энергия оказывается весьма надежной формой возобновляемой энергии.
При ее преобразовании возникают и определенные неудобства:
- несовпадение основных периодов возникновения приливов (12 ч 25 мин и 24 ч 50 мин), связанных с движением Луны, с привычным для человека периодом солнечных суток (24 ч), в связи с чем оптимум приливной генерации находится не в фазе с потребностями в энергии;
- изменение высоты прилива и мощности приливного течения с периодом в две недели, что приводит к колебаниям выработки энергии;
- необходимость создания потоков воды с большим расходом при сравнительно малом перепаде высот, что заставляет использовать большое число турбин, работающих параллельно;
- очень высокие капитальные затраты на сооружение большинства предполагаемых ПЭС;
- потенциальные экологические нарушения и изменение режимов эстуариев и морских районов.
Мощность приливных течений и приливного подъема воды
Вблизи побережья и между островами приливы могут создавать достаточно сильные течения, пригодные для преобразования энергии. Устройства для преобразования энергии приливных течений будут практически сходны с аналогичными устройствами, приводимыми в действие течениями рек.
Соотношения, позволяющие оценить мощность приливных течений, подобны тем, которые используются в ветроэнергетике, при этом следует иметь в виду, что плотность воды во много раз выше плотности воздуха, а скорости течения воды сравнительно низки.
Плотность мощности потока воды, Вт/м2, равна

В случае приливного или речного течения при скорости, например, 3 м/с
Только часть полной энергии потока может быть преобразована в полезную. Как и для ветра, это значение η не может превышать 60%. На практике оказывается, что η можно довести максимум до 40%.
Скорости приливных течений изменяются во времени примерно как
где τ – период естественного прилива, 12 ч 25 мин для полусуточного;
V0 – максимальная скорость течения, м/с.
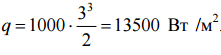
Таким образом, электрическая мощность, снимаемая с 1 м2 площади поперечного сечения потока (с учетом 40%-ной эффективности преобразования энергии потока в электрическую), в среднем равняется
![]()
При максимальной скорости около 5 м/с, встречающейся в проливах между островами, q ≈14кВт/м2. Перекрыв площадь 1000 м2, можно получить полную среднюю мощность электростанции около 14 МВт.
Уже разработан целый ряд современных устройств для преобразования энергии приливных течений, один из которых показан на рис. 13.2.1. Капитальные затраты на создание подобных устройств в расчете на 1 кВт установленной мощности достаточно высоки, поэтому их строительство целесообразно лишь в отдаленных районах с высокими скоростями приливных течений, где любые альтернативные источники энергии еще более дороги.

Основы теории приливной энергетики достаточно просты. Предположим, что бассейн ПЭС наполняется при высокой воде и опустошается через турбины при малой воде (рис. 13.2.2). Пусть бассейн имеет постоянную площадь A, остающуюся покрытой водой при малой воде. Допустим, что поступившая в бассейн вода имеет массу ρAR, сосредоточенную в центре тяжести на высоте R/2 от уровня малой воды, и что вся вода вытекает из бассейна при малой воде. Потенциально максимальную энергию от прилива можно получить, если вся вода падает с высоты R/2. В этом случае энергия прилива

Если энергия преобразуется в течение продолжительности периода прилива, то средняя потенциальная мощность за приливный период оказывается равной

На практике в системе, использующей срабатывание запаса воды из заполняемого в прилив бассейна, несмотря на достаточно высокую эффективность преобразования получить максимальную мощность нельзя. Этому препятствуют следующие обстоятельства.
Генерирование электроэнергии не может быть обеспечено вплоть до условий малой воды, таким образом, часть потенциальной энергии прилива не может быть преобразована.
Турбины ПЭС должны работать при низком напоре и при больших скоростях потоков – условия необычные для имеющейся обычной гидроэнергетической практики.
Невозможно равномерно снабжать потребителей электроэнергией из-за изменения уровня воды в бассейне.

На рис. 13.2.2 показано, что ПЭС может работать как при опустошении бассейна, так и при его наполнении. Оптимальная станция, использующая реверсируемые гидроагрегаты, которые, кроме того, можно еще использовать и в насосном режиме для повышения уровня в бассейне, может перерабатывать до 90% потенциальной энергии прилива.
Использование энергии океанских течений
Механическая мощность, которую можно извлечь из океанского течения, определяется тем же соотношением, которое используется для оценки этой величины в ветроэнергетике:

Коэффициент преобразования энергии, зависящий от типа турбины, для выполнения приближенных расчетов можно принять равным 0,6 для свободно вращающегося рабочего колеса и 0,75 для того же колеса в насадке. Строительство крупных ветровых турбин (диаметром до 200 м) практически невозможно из-за ограничений, связанных с прочностью материалов и массовыми характеристиками подобных устройств. Для турбин, работающих в морской среде, массовые ограничения менее существенны из-за действия на элементы конструкций силы Архимеда. Повышенная плотность воды позволяет, кроме того, уменьшить столь существенное для воздушных турбин воздействие вибраций, вызывающих усталостное разрушение материалов.
Важное достоинство океанских течений в качестве источников энергии по сравнению с ветровыми потоками – отсутствие резких изменений скорости (сравните с изменениями скорости при порывах ветра, при ураганах и т.п.). При достаточном заглублении в толщу воды турбины ОГЭС надежно защищены от волн и штормов на поверхности. Для эффективного использования течений в энергетике необходимо, чтобы они обладали определенными характеристиками. В частности, требуются достаточно высокие скорости потоков, устойчивость по скорости и направлению, удобная для строительства и обслуживания география дна и побережья. Удаленность от побережья влечет удорожание транспортировки энергии и обслуживания этих станций, как, впрочем, и любых других. Большие глубины требуют увеличения затрат на сооружение и обслуживание якорных систем, малые – создают помехи судоходству. Именно географические факторы не позволяют сейчас говорить о строительстве ОГЭС в открытом океане, где несут свои воды наиболее мощные течения. При средних и малых глубинах, особенно в местах образования приливных течений, важную роль играет топография дна.
В качестве недостатков преобразователей энергии океанских течений следует отметить необходимость создавать и обслуживать гигантские конструкции в морской воде, подверженность этих конструкций обрастанию и коррозии, трудности передачи энергии.
Общая характеристика технических решений
По аналогии с ВЭУ существующие преобразователи энергии течений можно условно разделить на две группы. К первой целесообразно отнести те из них, в основу которых положен принцип преобразования скоростного напора во вращательное движение турбин. Ко второй, менее многочисленной, группе относят преобразователи, основанные на других физических принципах (объемные насосы, упругие преобразователи и др.).
Для характеристики схем установки преобразователей можно выделить две основные схемы – сооружений, закрепляемых на морском дне, и сооружений, плавающих в толще воды и заякоренных к дну.

Родоначальником устройств первой группы по праву считают водяное колесо (рис. 13.4.1, а). В совершенствовании водяного колеса наблюдаются две основные тенденции. Одна – собственно улучшение показателей колеса (за счет оптимизации конструкции ферм, лопастей, механизмов передачи энергии, расположения по отношению к потоку, применения современных материалов и т.п.), другая – принципиальное изменение представлений о колесе.
Ленточное колесо (рис. 13.4.1, б) оказывается более компактным, требует меньше материалов, менее подвержено воздействию атмосферы. Подобное устройство может быть установлено в потоке на понтонах с таким расчетом, чтобы нижние лопасти входили в воду, а верхние оставались «сухими». Эффективность преобразования скоростного напора повышается за счет того, что сразу несколько лопастей оказываются под воздействием потока. Однако, простое увеличение числа лопастей ленточного колеса не приведет к существенному увеличению момента на валах.
На базе ленточного колеса созданы устройства, полностью погружаемые в толщу потоков (рис. 13.4.1, в, г). Для таких устройств предлагается несколько способов уменьшения сопротивления движению ленты во время холостого хода. Это и сооружение воздушной камеры над колесом и применение различных вариантов механизмов складывания лопастей.
Наибольшие надежды гидроэнергетики, занимающиеся разработкой преобразователей энергетики океанских течений, связывают с агрегатами, с помощью которых могут быть получены значительные единичные мощности. В качестве вариантов таких устройств рассматриваются рабочее колесо в виде свободного пропеллера, пропеллера в насадке, водяной аналог турбины Дарье, системы с управляемым крылом (рис. 13.4.2, а–в). Во всех этих конструкциях, так же как и у перспективных ветровых турбин, главный преобразующий элемент – крыловой профиль, обтекание которого потоком создает гидродинамическую силу, заставляющую турбины вращаться.

Наилучшими показателями обладает турбина, выполненная в виде рабочего колеса с горизонтальной осью в насадке. Это объясняется тем, что такое рабочее колесо меньше возмущает поток, не так сильно, как свободное, вовлекая жидкость во вращательное движение. Насадок как бы отделяет возмущенную часть потока от невозмущенной и в то же время обеспечивает некоторую концентрацию энергии. Форму насадка выбирают из такого расчета, чтобы обеспечить плавное безотрывное течение потока на подходе к турбине, сделать всю систему устойчивой на потоке, максимально снизить завихренность потока на выходе из нее.
Увеличения мощности одного такого агрегата можно достигнуть за счет удлинения крыла. По сравнению с ветровыми преобразователями океанские турбины в этом плане имеют преимущество: критический размер крыла, при котором в нем достигается предел прочности материалов для такой турбины выше. Но есть ограничения и в воде: при слишком большой длине крыла на смену изгибающим моментам, создаваемым под воздействием силы тяжести, приходят моменты, создаваемые силой давления потока.
Другое ограничение диаметра рабочего колеса связано с технологическими трудностями при постройке и установке столь громоздких сооружений в океане. Специалисты сходятся во мнении, что диаметр турбин в насадках вряд ли превысит 200 м (по габаритам подобное сооружение напоминает крытый стадион на 20 тысяч зрителей). Накопленный к настоящему времени опыт строительства эксплуатационных платформ для добычи нефти и таза водоизмещением в сотни тысяч тонн показывает, что такие объекты могут быть созданы.

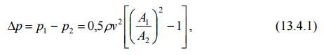
Рассмотрим преобразователи энергии потоков, относящиеся по нашей классификации ко второй группе, и, прежде всего, устройства типа объемного насоса. На рис. 13.2.3 изображена одна из схем такого устройства, в основе которого – неподвижно закрепленное в потоке сопло Вентури. В пережатом сечении сопла из-за увеличения скорости жидкости происходит падение статического давления, которое может быть использовано, например, для засасывания воздуха с поверхности. В выходном сечении уже сжатый воздух вытесняется из потока в напорную камеру, откуда по ступает в воздуховод турбины, соединенной с электрогенератором. При умеренных степенях пережатия потока работа такого устройства может быть описана с помощью уравнения Бернулли. В этом случае перепад давлений, который создается насосом,

где А1/А2– отношение площадей входного и минимального сечений конфузора.
Производительность такого насоса зависит от расхода жидкости через сечение насоса и может быть доведена примерно до 20 % объемного расхода. Эжекционные свойства сильно зависят от способа ввода в поток подсасываемого газа.
Перечень различных вариантов преобразователей можно продолжить, но важно отметить, что со временем могут быть открыты как более эффективные способы преобразования энергии потоков в океане, так и новые гидродинамические явления, которые потребуют принципиально новых разработок. Уже сейчас можно обратить внимание на энергию океанских противотечений, скрытых толщей поверхностных вод и часто лишь достаточно тонкими пограничными слоями отделенных от поверхностных; энергию различных вихрей, возникающих в открытом океане под воздействием метеорологических возмущений и крупномасштабной гидродинамической неустойчивости в океанах. Известны даже постоянно действующие вихри. Один из них находится в 400 км от Огасавары (Япония) в Тихом океане. Он представляет собой водоворот диаметром около 200 км, поднимающийся с глубины 3 км почти до самой поверхности. Примечательна одна из особенностей водоворота – примерно через каждые 100 дней он изменяет направление вращения на обратное. По оценкам японских ученых удельные энергетические характеристики этого водоворота значительно выше, чем у ряда океанских течений.
Приливные электростанции
Приливная электростанция (ПЭС) строится на побережье морей и океанов со значительными приливно-отливными колебаниями уровня воды. Для этого естественный залив отделяется от моря плотиной и зданием ПЭС. При приливе уровень моря будет выше уровня воды в отделенном от него заливе, а при отливе, наоборот, ниже уровня воды в заливе. Перепады этих уровней создают напор, который используется при работе гидротурбин ПЭС.
Причиной приливных колебаний уровня воды и приливных течений является гравитационное взаимодействие Земли с Луной и Солнцем. Величина приливов различна в разных местах. В Бристольском заливе (Англия) высота приливных волн достигает 14 м, в Охотском море в Пенжинском заливе — около 13 м, в Тугурском заливе — около 7 м, в Белом море в Мезенском заливе — около 9 м. Наибольшие приливы наблюдаются в заливе Фанди (Канада), и они достигают 19,6 м.
Для эффективной работы ПЭС необходима определенная разность уровней воды при приливе и отливе (не менее 4 м), поэтому в мире не так много мест, где такие станции могут быть сооружены.
В начале 21 века в мире действовало всего 10 ПЭС общей мощностью около 270 МВт. Самая крупная ПЭС мощностью 240 МВт построена в 1967 г. во Франции в устье реки Ранс (рисунки 6.4 и 6.5). Она вырабатывает 540 млн кВт · ч электроэнергии в год. Стоимость сооружения в 2,5 раза выше стоимости обычной ГЭС той же мощности. ПЭС Аннаполис в Канаде имеет мощность 20 МВт.

В 1968 г. в России была построена и эксплуатируется Кислогубская ПЭС мощностью 0,4 МВт в губе Кислой на побережье Кольского полуострова в 60 км западнее Мурманска. Эта ПЭС возводилась как опытная для отработки технологий создания наплавных конструкций, которые изготавливались в строительном доке, а затем с помощью буксиров перемещались в места установки в створе ПЭС.

Остальные 7 ПЭС созданы в Китае. Первая опытная ПЭС была введена в эксплуатацию в Китае в 1959 г. на побережье Южно-Китайского моря мощностью 40 кВт, которая впоследствии была увеличена до 200 кВт. Вторая ПЭС мощностью 165 кВт с тремя агрегатами по 55 кВт вступила в строй в 1970 г. В 1983 г. на побережье Восточно-Китайского моря была сдана в эксплуатацию однобассейновая ПЭС Цзянси двустороннего действия с одним гидроагрегатом в 500 кВт. Суммарная мощность ПЭС Китая составляет 10МВт.
ПЭС мощностью 5МВт возводится в Индии в порту Анкор. Ее особенностью является использование воздушных турбин: в прилив воздух сжимается водой в специальных резервуарах, в отлив имеет место обратное движение воздуха через турбину и заполнение им освободившегося объема резервуаров.
Целесообразность создания волновых электростанций определяется региональными особенностями и прежде всего плотностью приходящей энергии — ее величиной на единицу длины волнового фронта.
Гидродинамическая мощность приливов определяется по формуле:

где ρ — плотность воды, кг/м3; g — ускорение силы тяжести, м/с2; A — высота приливной волны, м; L — характерный горизонтальный размер залива, м; H — глубина в районе прилива, м.
Технические ресурсы приливной энергии России оцениваются в 200–250 млрд кВт · ч в год и в основном сосредоточены у побережья Охотского, Берингова и Белого морей. Представляет интерес перспектива строительства ПЭС в Тугурском и Пенжинском заливах на Дальнем Востоке России.
Энергетический потенциал ПЭС в Тугурском заливе оценивается величиной около 19 ТВт · /год, что соответствует мощности более 2 ГВт. Приливы в Пенжинском заливе существенно больше, чем в Тугурском заливе. Энергетический потенциал ПЭС Пенжинской губы оценивается величиной около 70 ТВт · ч/год, что соответствует мощности более 20 ГВт.
Крупномасштабному строительству ПЭС препятствуют в основном экономические причины, так как их сооружение требует значительных капитальных вложений.
Преобразование тепловой энергии океана
Ресурсы тепловой энергии океана
Мировой океан – крупнейший естественный коллектор солнечного излучения. В нем между теплыми, поглощающими солнечное излучение поверхностными водами и более холодными придонными достигается разность температур в 20 °С. Это обеспечивает непрерывно пополняемый запас тепловой энергии, которая принципиально может быть преобразована в другие виды. Сам термин «преобразование тепловой энергии океана» (ОТЕС) – «ocean termal energy conversion» – означает преобразование некоторой части этой тепловой энергии в работу и далее в электроэнергию.
Преобразование тепловой энергии, запасенной океаном, в механическую энергию и далее в электроэнергию требует создания тепловой машины, тем или иным способом использующей естественный перепад температур между прогретыми поверхностными и охлажденными глубинными слоями вод. В первом приближении доля преобразуемой энергии может быть определена через КПД термодинамического цикла Карно как ∆T/T, где ∆T – величина перепада температур между нагревателем и холодильником; T – абсолютное значение температуры нагревателя (К). Соответственно для определения реализуемых запасов тепловой энергии необходимы сведения о распределении температур на поверхности океана, толщине прогретого слоя, глубине залегания слоя холодных вод, скорости перемещения водных масс.
Первая такая приближенная оценка была выполнена в 1977 г. Она базировалась на том, что в среднем по Мировому океану разность температур между поверхностью и глубинами примерно в 400 м составляет 12 °С, лишь в некоторых районах вблизи экватора достигая 20°С. Считая в среднем, что разность температур в 12°С сохраняется на всей свободной ото льда поверхности площадью около 3·1014 м2 в слое толщиной 100 м, общую тепловую энергию, присутствующую в океане в любой момент времени, можно оценить как
W = ρvcp∆T , (14.1.1)
где ρ – плотность воды, кг/м3;
v – объем нагретых вод, м3;
cp – удельная теплоемкость, Дж/(кг·К).
Полагая cp = 4,19 кДж/(кг·К), величина запасенной энергии W =15 ⋅1023 Дж.
Более точные оценки требуют знания картины распределения температур. О распределении перепадов температур на поверхности Мирового океана дает представление рис. 14.1.1. Карты показывают, что площадь зоны с постоянным максимальным перепадом температур не так уж велика и составляет примерно 20 млн. км2. Ценой снижения КПД идеального цикла на 1 % эту зону возможного размещения тепловых преобразователей можно увеличить примерно в 6–7 раз. Постоянство перепада температур в случае изъятия части энергии должно обеспечиваться притоком энергии за счет перемещения, водных масс и поглощения солнечного излучения.

Определение ресурсов тепловой энергии, связанной с океаном, будет не полным, если не учесть потенциальные возможности еще двух температурных перепадов, существующих между приповерхностными слоями воздуха и поверхностными слоями воды и между придонными водами и породами, слагающими дно. Эти ресурсы пока не оценены, однако уже ведутся работы по созданию действующих моделей преобразователей, использующих первый перепад, который представляет особый интерес для Арктики, где в зимнее время – практически не менее 8 месяцев в году – температуры воздуха лежат ниже -20 °С при относительно постоянных температурах воды подо льдом +2 – +3°С. Расчеты показывают, что при таком перепаде каждый 1 м3 морской воды, будучи пропущен за 1 с через преобразователь, позволяет получить около 10 кВт мощности при КПД установки 5%.
Океанические тепловые электрические станции (ОТЭС)
Одним из перспективных возобновляемых источников энергии является тепловая энергия океана, которую можно использовать на основе природной разности температур между поверхностными и глубинными океаническими водами в тропических районах. В полезную работу можно превратить тепло, идущее от рабочей среды с высокой температурой к среде с более низкой температурой. Средняя температура океанической воды на поверхности в тропиках достигает 28 ◦C, а на глубинах до 600 м температура воды составляет 3–4 ◦C.
Идея использования тепловой энергии была практически реализована в 1928 г. французским инженером Ж. Клодом, соорудившим на побережье Кубы первую океаническую тепловую электростанцию (ОТЭС), которая развивала примерно 22 кВт электрической мощности и вырабатывала пресную воду. Энергия производилась в режиме так называемого открытого цикла, поскольку в качестве рабочей жидкости использовалась морская вода. С помощью насосов она передавалась с поверхности океана при температуре 27 ◦C в испаритель с частичным вакуумированием, после чего превращалась в пар, который вращал турбину, связанную с электродвигателем. Затем пар охлаждался холодной водой с температурой 14 ◦C, отбираемой с глубины 400 м. Отработанная вода сбрасывалась в океан.
Более эффективным является замкнутый цикл, когда в качестве рабочей жидкости применяется низкокипящее рабочее тело (аммиак, пропан и др.)
Небольшие демонстрационные ОТЭС, использующие градиент температур поверхностных и глубинных слоев воды в океане, получили развитие в США, Японии и ряде островных государств экваториальной зоны. Несмотря на малую разность температур цикла ОТЭС, огромный тепловой потенциал, накопленный морской водой, делает заманчивым использование этого экологически чистого источника тепла для получения электроэнергии.
Первая современная конструкция ОТЭС мощностью 50 кВт была опробована вблизи Гавайских островов в 1979 г. В качестве рабочей жидкости применялся аммиак, который нагревался в теплообменнике поверхностной морской водой до 27 ◦C, а охлаждался глубинной водой с температурой около 5 ◦C.
Более мощная опытная система ОТЭС была разработана японскими специалистами в 1980-х гг. на острове Науру в Тихом океане. Станция работает по замкнутому циклу на хладоне P22 при подаче теплой воды с температурой около 29 °C и холодной воды с глубины 580 м при температуре 7,9 °C. На этой станции достигнута мощность 120 кВт, из которой часть поступает в сеть острова Науру, а часть расходуется на собственные нужды.
Использование достаточно мощной ОТЭС в одном и том же месте в океане в течение неограниченного времени возможно только при наличии течений, приносящих тепловую энергию из других районов океана.

На рисунках 6.1 и 6.2 представлены принципиальная схема ОТЭС с циклом Ренкина на низкокипящем рабочем теле и конструкторские решения размещения оборудования.

Теплая вода с поверхности океана забирается насосом и направляется в испаритель, где происходит нагрев и испарение низкокипящего рабочего тела за счет съема тепла с подведенной воды. Охлажденная вода из испарителя идет на сброс. Пар рабочего тела из испарителя попадает в турбину и далее в конденсатор. Для конденсации отработанного пара в конденсатор подводится холодная вода из глубинных слоев океана. Далее конденсат циркуляционным насосом закачивается в испаритель, и цикл на этом замыкается. Основные сложности связаны с необходимостью подъема значительных объемов воды с больших глубин.
Наиболее важными проблемами создания теплоэнергетических установок для тропических районов океана являются: интенсификация теплообмена в парогенераторе и конденсаторе для уменьшения их массы и габаритов, предотвращение биообрастания и коррозии оборудования, поиск эффективных и экологически безопасных низкокипящих рабочих веществ.
Разновидностью утилизации тепловой энергии океана является способ, основанный на использовании разности температур воды и воздуха над ее поверхностью. Особенно перспективен этот способ для арктических районов. Температура океанической воды в арктических районах на 30–40 ◦C выше температуры атмосферного воздуха.
В арктических ОТЭС (рисунок 6.3) морская вода отдает тепло промежуточному рабочему телу в парогенераторе-испарителе станции. Это делает невозможным использование тепла воды ниже температуры ее замерзания. Температура воды подо льдом в арктических районах составляет не более +0,5◦C, а температура ее замерзания при 34% солености равна −1,86 ◦C. Тогда перепад температуры в теплообменнике можно принят равным 2 ◦C. В качестве конденсатора в таких ОТЭС можно использовать воздушную градирню с естественной тягой.

К отрицательным последствиям работы ОТЭС можно отнести возможные утечки в океан низкокипящих рабочих тел, а также веществ, применяемых для промывки теплообменников. Возможно значительное выделение углекислого газа из поднимаемых на поверхность холодных глубинных вод из-за снижения в них парциального давления CO2 и повышения температуры. Выделение углекислого газа из воды при работе ОТЭС предположительно на 30% больше, чем при работе обычных ТЭС той же мощности, использующих органическое топливо.
Передача электрической энергии к потребителю на суше целесообразна тогда, когда ОТЭС находится не очень далеко от потребителей на суше.
В перспективе в разных странах предполагается создание автономных ОТЭС, размещаемых в открытом океане, для обеспечения энергией производств различных веществ из морской воды. Такие станции могут также использоваться для получения топлива при переработке газогидратов, которые наблюдаются в донных структурах внутренних морей Тихого и Северного Ледовитого океанов.
В будущем возможно широкое применение энергетических систем в океане для производства пресной воды. Сопутствующее этому производству получение громадного количества солей может послужить сырьевой базой для развития специальных отраслей химической промышленности.
Создание систем преобразования энергии океана требует разработки принципиально новой подводной техники, использующей новые синтетические и композитные материалы, а также дефицитные металлы, такие как титан, магний и др.
Схема ОТЭС, работающей по замкнутому циклу
Схема установки, работающей по замкнутому циклу, приведена на рис. 14.2.1. В такой системе с помощью теплых поверхностных вод, прокачиваемых насосом через теплообменник испарителя, превращают в пар какое-либо подходящее рабочее тело (аммиак, фреон, пропан), создают пар повышенного давления, давая ему возможность расшириться через турбину в холодильник, где пар конденсируется при контакте с охлаждаемыми поверхностями второго теплообменника, омываемого водой, закачиваемой из глубинных слоев океана.

1 – насос теплой воды; 2 – испаритель; 3 – насос осушителя парообразного рабочего тела; 4 – осушитель; 5 – турбина с электрогенератором; 6 – конденсатор; 7 – насос для забора холодной воды; 8 – насос для подачи рабочего тела.
На рис. 14.2.2 показан термодинамический цикл такой тепловой машины (цикл Ренкина) в координатах абсолютная температура-энтропия. Полезная работа, совершаемая паром в турбине, определяется ветвью 1-2, на участке 2-3 происходит конденсация, затем насосом рабочее тело подается в испаритель 3-4, где нагревается (ветвь 4-5) и испаряется (ветвь 5-1). Таким образом, подвод рабочего тела к системе тепла осуществляется на ветви 3-4-5, а отвод – на ветви 2-3. Дополнительную работу приходится затрачивать на закачку конденсата в испаритель (3-4) и на подачу воды в нагреватель и холодильник.

Максимальный теоретический КПД такой системы определяется разностью температур воды, подаваемой в нагреватель и холодильник, как КПД эквивалентного цикла Карно
Для перепадов температур между поверхностными и глубинными слоями воды в пределах от 15 до 26 °С он соответственно изменяется в диапазоне от 5 до 9 %. Реальный КПД, как правило, существенно ниже. Это связано с конструктивными ограничениями, не позволяющими в реальной установке довести температуру паров и конденсата до температуры теплых и холодных вод соответственно (на рис. 14.2.2 это подчеркнуто с помощью разностей температур ∆TН = T01 − T1 и ∆TК = T2 − T02. Конкретные температуры приведены на рис. 14.2.1. Можно подсчитать, что при теоретическом КПД, равном 7,3 %, на турбине получаем величину примерно в 2 раза меньшую – 3,6%. Причем она не учитывает еще потерь на собственные нужды станции, которые сведут КПД до величины, меньшей 2,5%. Это, в свою очередь, означает, что для получения 1 МВт «полезной» мощности через теплообменники такой станции должно пройти не менее 40 МВт тепловой мощности. Именно поэтому ОТЭС требуют огромных расходов теплой и холодной воды, измеряемых в тысячах кубометров в секунду.
Для того чтобы представить себе, что же такое реальная промышленная ОТЭС, достаточно указать такие ориентировочные цифры: станция мощностью 40 МВт (плавучая) должна иметь водоизмещение примерно 70 тыс. т, диаметр трубопровода холодной воды 10 м и рабочую поверхность теплообменника около 45 тыс. м2.
Схема ОТЭС, работающей по открытому циклу
Схема установки, работающей по открытому циклу Клода, показана на рис. 14.3.3. В качестве рабочего тела здесь использована морская вода, подаваемая в испаритель через деаэратор, освобождающий воду от растворенных в ней газов. Предварительно из полостей испарителя и конденсатора удаляется воздух, так что давление над поверхностью жидкости определяется только давлением насыщенных паров, которое сильно зависит от температуры. При характерных для ОТЭС температурах этот перепад составляет примерно 1,6 кПа (при замкнутом цикле на аммиаке около 500 кПа), под действием этого перепада пары воды приводят в движение турбину, попадают в конденсатор, где и превращаются в жидкость.

Основное отличие цикла как раз и состоит в малости перепада давлений, что требует использования соответствующих гигантских турбин диаметром в несколько десятков метров. Это, пожалуй, основной технический недостаток систем открытого цикла. Основное же их достоинство – отсутствие гигантских нетехнологичных теплообменников. Кроме того, при работе систем открытого цикла могут быть получены большие количества пресной воды, что немаловажно в жарком поясе планеты.
Использование перепада температур океан-атмосфера
Идея использования перепада температур между холодным воздухом и незамерзающей (теплой) водой подо льдом Арктики впервые была высказана во Франции А. Баржо, развившим идею Д’Арсонваля по преобразованию тепловой энергии, запасенной в океане. В нашей стране с ее протяженным арктическим шельфом работы в этой области всегда вызывали интерес. Достаточно указать на проекты Г. Покровского (1901-1979 гг.), на работы, выполненные под руководством В.И. Марочека во Владивостоке, на проведенные там же исследования А.К. Ильина и В.В. Тикменова.
Особенность работы таких станций – так называемый «треугольный» цикл: нагрев и испарение рабочего тела в результате политропного процесса, адиабатное расширение через турбину, изотермическое сжатие при подаче в испаритель с одновременным отводом избыточного тепла в холодильнике. КПД такого цикла, как показано в одной из работ А.К. Ильина, ниже термического КПД цикла Карно примерно в 2 раза. С точностью до 1 % он определяется выражением

где T01 – температура теплой подледной воды (275 К); T02 – температура охлаждающего воздуха (до 233 К). Значительный перепад температур сможет компенсировать снижение КПД. Теоретическую мощность такой ОТЭС можно оценить с помощью формулы В.А. Акуличева

где k = H/L – отношение толщины используемого слоя теплой воды к характерной длине возмущения среды вдоль течения;
u – скорость течения;
A – площадь взаимодействия станции с океаном;
η – коэффициент потерь в агрегатах и системах.
Если положить в этом выражении k = 1 и считать механические потери в агрегатах станции пренебрежимо малыми (ηм = 1), то удельная мощность, получаемая с 1 м2 площади океана при разности температур воды и воздуха, равной 10 °С, составляет примерно 18 кВт/м2 при разности 20 °С – 60 кВт/м2, а при разности 30 °С – 125 кВт м2. В этих оценках величина скорости движения воды принята равной 0,02 м/с – характерная скорость для прибрежных районов Северного Ледовитого океана.
Таким образом, при отсутствии ограничений по глубине океана в зоне размещения полярной ОТЭС и мощности в 1 МВт она будет возмущать тепловой режим на площади всего около 20 м2.

На рис. 14.4.1 приведена разработанная А.К. Ильиным и В.В. Тикменовым схема АОТЭС с обдуваемыми воздухом теплообменниками. В ней использован дополнительный контур с промежуточным теплоносителем, позволяющий существенно снизить потери энергии на собственные нужды станции.
Схема напоминает обычные тепловые станции с градирнями для охлаждения отработавшей воды, но данные градирни действуют в условиях, когда температура наружного воздуха много ниже нуля, а охлаждаемая жидкость имеет температуру всего на несколько градусов выше. Поэтому в охлаждающем контуре такой станции необходимо использовать рассол с низкой температурой замерзания. В качестве промежуточного теплоносителя применяется водный раствор хлористого кальция с концентрацией не менее 26 кг на 100 кг воды, который достаточно широко используется в холодильной технике. Рабочим телом в основном контуре станции служит фреон-12, пары которого приводят в движение турбину с электрогенератором.
Промежуточный теплоноситель охлаждается путем разбрызгивания через форсунки оросительного охладителя. Причем важно обеспечить определенное распыление, чтобы, с одной стороны, капли теплоносителя не выносились потоком холодного воздуха, а с другой – успевали охладиться во время падения. Для того чтобы капля диаметром 1 мм охладилась на 2 °С при движении в воздухе со средней разностью температур 30 °С ей необходимо пролететь в свободном падении чуть более 3 м. Распыляя таким образом раствор хлористого кальция, можно добиться удельного съема энергии более 230 Вт/(м2 К). Такие значения коэффициентов теплоотдачи, конечно, уступают получаемым в настоящее время в конструкциях водо-водяных теплообменников традиционных ОТЭС (до 5 кВт/(м2 К)), но превышают примерно в 5 раз характерные величины для простейших воздушных теплообменников станций без промежуточного теплоносителя. Это позволяет снизить металлоемкость конденсаторов и примерно на 20 % увеличить выработку полезной энергии.
Прямое преобразование тепловой энергии океана
Схема ОТЭС на термоэлектрических преобразователях показана на рис. 14.5.1. В основе ее действия – явление Зеебека, заключающееся в возникновении разности потенциалов в электрической цепи, составленной из материалов с различной концентрацией носителей заряда, места соединений которых нагреты до разных температур. Величину этой разности потенциалов можно определить по известной формуле:

где k – постоянная Больцмана;
e – заряд электрона;
n01, n02 – концентрации носителей (электронов в проводниках, электронов и дырок в полупроводниках);
∆T – разность температур между нагреваемыми и охлаждаемыми спаями (соединениями) разнородных электропроводящих материалов.

термоэлектрического преобразователя; 1 – кожух; 2 – термоэлектрический генератор; 3 – полупроводниковые элементы с n – и p -проводимостью; 4 – поверхностное изолирующее покрытие; 5 – изолятор; 6 – соединительные
шины.
Действие такой системы полностью описывается законами термодинамики, справедливыми для обычных ОТЭС. КПД такого преобразователя, выполненного на полупроводниковых элементах, достигает 10 %. Это значительно больше, чем у систем, работающих по циклу Ренкина и Клода. Кроме того, в системах таких ОТЭС к минимуму могут быть сведены потери на собственные нужды станции. Величина термо-ЭДС для полупроводниковых пар может достигать нескольких милливольт на градус (для металлических термопар они примерно в 1000 раз ниже). Например, постоянная Зеебека для кристаллов теллурида висмута с n- и p- проводимостью равна 3,14·10-4 B/K.
Другое достоинство полупроводниковых систем – возможность обеспечения достаточно высокой теплоизоляции между нагревателем и холодильником, что сильно влияет на КПД систем.
К недостаткам таких систем относятся достаточно высокая стоимость материалов, из которых изготовляются элементы, и необходимость изолировать спаи от непосредственного контакта с морской водой – происходит шунтирование через воду соседних элементов, обладающих достаточно высоким собственным сопротивлением, и, следовательно, снижение мощности, выдаваемой в цепь нагрузки. В свою очередь, изолирование спаев приводит к удорожанию преобразователей и ухудшению их показателей. Работы, выполненные группой исследователей из университета Осаки (Япония), показывают, что при отсутствии изолятора в несколько раз увеличивается съем полезной мощности. Однако необходимо иметь в виду, что в опытах японских исследователей в качестве носителя энергии использовалась не сама морская вода, а фторуглеродистые соединения.
ОТЭС, созданные на описанном принципе, вероятно, можно применить для обеспечения электроэнергией комплексов подводной добычи полезных ископаемых на океанском дне.
