Источники тепла в недрах Земли и закономерности его передачи
Источники тепла
Земля обладает тепловой энергией внешнего (экзогенного) и внутреннего (эндогенного) происхождения. Основными источниками внутренней тепловой энергии являются:
- самопроизвольный распад радиоактивных элементов: элементы с периодом полураспада, меньшим периода формирования Земли, распались при первоначальном разогреве планетного вещества; распад долгоживущих элементов продолжается в настоящее время;
- воздействие притяжения Солнца и Луны, приводящее к земным приливам и торможению Земли — за счет этого фактора за время существования Земли выделилось до 30% теплоты радиогенного происхождения;
- гравитационная дифференциация вещества Земли и его расслоение с образованием плотного ядра и менее плотной оболочки;
- тектонические процессы, вызывающие вертикальные и горизонтальные смещения крупных блоков земной коры и ее упругие деформации;
- физико-химические процессы, протекающие в недрах Земли.
Радиоактивные элементы в земной коре составляют миллионные доли грамма на грамм породы. Однако за время существования нашей планеты образовавшегося тепла оказалось достаточно для разогрева внутренних слоев Земли, обусловившего развитие таких процессов, как вулканизм, метаморфизм, землетрясения, тепловое излучение и др.
Формирование тепла Земли тесным образом связано с историей происхождения нашей планеты. Согласно новейшей (1950) гипотезе (Шмидт и др.), образование планет, и в том числе Земли, произошло в результате сгущения протопланетного облака пыли, вращающегося вокруг Солнца. Первоначальное вещество планет, находящееся в холодном состоянии, под влиянием сгущения вещества планеты и внутреннего тепла от радиоактивного распада элементов стало постепенно разогреваться, что вызвало впоследствии дифференциацию вещества и образование оболочек Земли. Образование из первичного холодного вещества современных оболочек Земли происходило по принципу зонного его плавления. Возникающие при этом сложные физико-химические процессы приводили к тому, что легкоплавкие вещества поднимались из глубин Земли к ее поверхности, а тяжелые компоненты опускались к ядру. В процессе зонной плавки происходило расслоение нашей планеты на определенные оболочки, а также высвобождение огромной энергии. По мнению академика А.П. Виноградова, именно в результате зонной плавки вещества планеты, происходящей под влиянием энергии радиоактивного распада, образовались оболочки Земли: атмосфера, гидросфера и твердая оболочка.
Помимо тепла, поступающего из недр, земная поверхность получает лучистую энергию Солнца в течение всего года. Температура самых верхних слоев земной коры зависит от поступления солнечного тепла.
Суточные изменения температуры распространяются на глубину не более 1–2 м. До глубины 20–25 м температура испытывает сезонные колебания. На этой глубине располагается пояс постоянной годовой температуры (нейтральный слой), равной средней годовой температуре воздуха на поверхности Земли. Верхняя часть земной коры, располагающаяся выше нейтрального слоя и испытывающая влияние солнечного тепла, получила название гелиотермической зоны.
Нейтральный слой в разных районах земной поверхности располагается на различных глубинах. Последнее зависит от амплитуды температур на поверхности, от теплопроводности горных пород: чем резче колебания температур и выше теплопроводность горных пород, тем глубже расположен нейтральный слой. К примеру, для Москвы температура нейтрального слоя равна +4,2◦C и зафиксирована на глубине 20 м.
Ниже нейтрального слоя находится геотермическая зона, для которой свойственно тепло, генерируемое самой Землей.
Под геотермальной энергией понимают физическое тепло глубинных слоев Земли, имеющих температуру, превышающую температуру воздуха на поверхности. В качестве носителей этой энергии могут выступать как жидкие флюиды (вода и/или пароводяная смесь), так и сухие горные породы, расположенные на соответствующей глубине. Средняя по земной поверхности величина теплового потока, поступающего из недр к поверхности, составляет весьма малую величину — около 0,03 Вт/м2.
Тепловые свойства горных пород
К тепловым свойствам горных пород, влияющим на геотермальную обстановку, относятся теплопроводность, тепловое сопротивление, теплоемкость и температуропроводность.
Теплопроводность, или точнее коэффициент теплопроводности λ, Вт/м · К, представляет собой коэффициент пропорциональности закона Фурье, связывающего плотность теплового потока q, Вт/м2, с градиентом температур grad T, К/м:
q = −λ grad T
Пористость и влажность влияют на теплопроводность горной породы. Сухие и пористые породы обладают меньшим коэффициентом теплопроводности, чем монолитные и влажные. Наличие в порах пород движущейся жидкости изменяет механизм теплопереноса, добавляя к кондуктивному конвективный теплоперенос.
Тепловое сопротивление ε, м · К/Вт, — величина, обратная теплопроводности:
ε = 1/λ
Удельная теплоемкость вещества C, кДж/кг · К, определяется формулой
C = dQ/mdT
где dQ, кДж, — количество тепла, подведенное к массе вещества m, кг, для нагрева ее на dT, К.
Коэффициент температуропроводности a, м2/с, характеризует собой скорость изменения температуры единицы объема среды в нестационарных процессах и определяется формулой
a = λ/Cρ,
где ρ — плотность породы, кг/м3.
Температуропроводность горных пород зависит от следующих факторов:
- плотности горных пород — температуропроводность уменьшается с возрастанием плотности;
- влажности горных пород — температуропроводность повышается с увеличением влажности, причем повышение происходит до некоторого предела влажности (разного для различных горных пород), выше которого температуропроводность понижается, так как при значительной влажности увеличивается теплоемкость пород;
- вида жидкости, содержащейся в породе (нефтеносные породы имеют более низкие значения температуропроводности, чем водоносные, так как тепловое сопротивление у нефти выше сопротивления воды);
- температуры пород — температуропроводность уменьшается с увеличением температуры пород в связи с увеличением их теплового сопротивления и теплоемкости;
- слоистости пород — по напластованию температуропроводность выше.
Температуропроводность практически не зависит от минерализации пластовых вод.
Виды теплопередачи
Геотермический градиент. В геотермической зоне температура повышается с глубиной. В верхней мантии на глубине 400 км температура составляет 1700◦C, на глубине 2900 км она приближается к 2500 °C, а на глубине 5000 км она составляет около 5000 °C.
Перенос тепла в земной коре осуществляется кондуктивной теплопередачей, обусловленной теплопроводностью горных пород, и конвективной теплопередачей, связанной с циркуляцией подземных флюидов — воды, нефти, магмы, газов. Несмотря на то что конвективный перенос тепла не является главной причиной теплопереноса, подземные флюиды и, прежде всего, вода занимают особое место в общем переносе тепла Земли благодаря высокой миграционной способности, значительной теплоемкости и участию в геологических процессах. Подземные пластовые воды активно циркулируют, находясь в круговом обмене с поверхностными и атмосферными водами. В районах с активной циркуляцией подземных вод перенос тепла резко возрастает и уменьшается температурный градиент. Подземные воды, обладая большой теплоемкостью, при движении перераспределяют тепловой поток, вызывая тепловые аномалии.
Геотермический градиент Г, К/м, определяется формулой:
Г = dT/dH,
где H, м, глубина.
В практике геологических и гидрогеотермических исследований геотермический градиент обычно определяют для интервала 100 м, и в среднем для земной коры этот градиент равен 3 К. Наличие температурного градиента объясняется существованием глубинного теплового потока, направленного к поверхности Земли.
Интервал глубин земной коры в метрах, на котором температура повышается на 1 К, называется геотермической ступенью:
G = 1/Г
Геотермическая ступень колеблется в значительных пределах и зависит от ряда причин: теплопроводности, характера залегания и состава горных пород, движения подземных вод, гидрохимических процессов.
В среднем для осадочных пород геотермическая ступень принимается равной 33 м, а в действительности колеблется от 5 до 160 м (на территории России от 20 до 100 м). Средние значения геотермической ступени для древних кристаллических щитов составляют более 100 м, для платформы 30–80 м, для области новейшего вулканизма 5–20 м.
Для большинства площадей с пластовым типом водоносных горизонтов зависимость температуры от глубины линейная:
TH = T0 +ΓH,
где TH — температура горных пород на глубине H, К; T0 — температура нейтрального слоя пород, К; Г — геотермический градиент,стабильный с глубиной, К/м; H — глубина, м.
Необходимо отметить, что величина геотермического градиента изменяется довольно значительно не только в различных районах, но и в пределах одного и того же района. Значение геотермического градиента меняется также с глубиной и зависит от теплопроводности горных пород, слагающих геологический разрез. Горные породы разного состава отличаются по теплопроводности. В массиве, сложенном кристаллическими породами, имеющими высокую теплопроводность, геотермический градиент малый. Глины отличаются малой теплопроводностью, и в глинистых толщах наблюдается быстрый рост температуры с глубиной и, соответственно, большой геотермический градиент.
Как уже отмечалось, существенную роль в переносе тепла играют подземные воды. Они могут транспортировать тепло из глубоких зон к поверхности. И наоборот, нисходящие потоки воды в областях питания водоносных коллекторов охлаждают земную кору.
Наиболее высокие температуры с глубиной наблюдаются в районах современной вулканической деятельности, к которым в России относится Камчатская область. В местах выхода парогидротерм на Нижнекошелевском месторождении на Камчатке геотермические градиенты составляют 0,25–0,45 К/м. На Паужетском месторождении высокотермальных вод на юге Камчатки максимальная температура на глубине 250 м — около 200 ◦C.
Из невулканических областей наиболее прогретым является Северокавказский регион, где значения геотермического градиента составляют 0,03–0,05 К/м, тогда как средние его значения для Москвы — 0,02, Санкт-Петербурга — 0,025, Нижнего Поволжья — 0,021, Урала — 0,012 К/м. На глубине 2000 м на Русской платформе установлены температуры в среднем 40–50◦C, на Сибирской платформе — 35–40 ◦C, а в Восточном Предкавказье температура изменяется от 70 до 125◦C.
На рисунке 1 показано изменение усредненной температуры с глубиной погружения осадочных отложений для Восточного Предкавказья.

На Тарумовском геотермальном месторождении в Дагестане, при строительстве самых глубоких скважин на термальные воды, в забое на глубине 5500 м зафиксирована температура 198 °C.
В таблице 1 приведены средние значения геотермической ступени и градиента для некоторых районов России и ближнего зарубежья.

В заключение отметим, что геотермические условия на территории России чрезвычайно разнообразны. Если в вулканических районах Камчатки температура пород и флюидов нередко достигает 100°C уже на первых десятках метрах от поверхности, то в северных районах Сибири отрицательная температура пород прослеживается иногда до глубин, превышающих 1000 м. В Северо-Кавказском регионе глубина залегания изотермы 100◦C составляет около 1500 м, тогда как в центральных и северо-западных районах европейской части страны она погружается до 6000 м.
Ресурсы геотермальной энергии
Виды ресурсов и запасов геотермальной энергии
Геотермальная энергия — тепловая энергия Земли, выходящая из ее глубинных слоев в верхние поверхностные слои за счет теплопроводности твердых пород, а также в виде горячей воды или парогазовой смеси.
Геотермальные ресурсы подразделяются на гидрогеотермальные и петрогеотермальные. Гидрогеотермальные ресурсы являются частью ресурсов геотермальной энергии, которая заключена в естественных коллекторах и представлена природными динамическими носителями тепловой энергии недр — геотермальными водами (вода, пар, пароводяные смеси). Петрогеотермальные ресурсы представляют собой часть тепловой энергии, которая заключена в скелете водовмещающих пород и в практически водонепроницаемых сухих горных породах.
Из всех пригодных для использования геотермальных ресурсов на долю термальных вод приходится чуть более 1% и соответственно около 99% — на петрогеотермальные ресурсы. Практическое использование колоссальных запасов тепла петрогеотермальных ресурсов связано с необходимостью решения ряда весьма сложных научно-технических проблем проектирования и создания в промышленных масштабах эффективных подземных искусственных систем извлечения тепла — циркуляционных систем, тепловых котлов повышенной проницаемости. Поэтому на современном этапе развития техники и технологий освоения геотермальной энергии масштабы ее практического использования определяются размерами эксплуатационных запасов и теплоэнергетическим потенциалом термальных вод, т. е. величиной гидрогеотермальных ресурсов.
Используемые в настоящее время термины эксплуатационные запасы и прогнозные ресурсы гидрогеотермальной энергии — по существу, синонимы. Термин эксплуатационные запасы употребляется обычно при оценке возможности применения термальных вод для удовлетворения теплоэнергетических потребностей конкретных объектов. В тех случаях, когда оцениваются потенциальные возможности эксплуатации термальных вод в том или ином регионе, употребляется термин прогнозные ресурсы.
Прогнозные ресурсы гидрогеотермальной энергии — это максимальное количество природного теплоносителя и тепловой энергии, которые могут быть получены из системы условных водозаборов, размещенных относительно равномерно по всей оцениваемой площади при технико-экономических показателях добычи, обеспечивающих эффективное их теплоэнергетическое использование в течение расчетного срока.
Эксплуатационные запасы гидрогеотермальной энергии (термальных вод и тепла) — это часть прогнозных ресурсов, которые могут быть получены из оцениваемого водоносного комплекса рациональными в технико-экономическом и экологическом отношениях водозаборными сооружениями при заданном режиме их эксплуатации и соответствующем качестве теплоносителя (температура, химический и газовый состав), удовлетворяющем требованиям его целевого использования в течение всего расчетного срока эксплуатации. Эксплуатационные запасы выражаются в объемных расходах воды (в м3/сут), а запасы тепловой энергии — в ГДж, тоннах условного топлива (т у. т.).
Эксплуатационные запасы на месторождениях различного типа обеспечиваются естественными запасами и ресурсами, искусственными запасами и привлекаемыми ресурсами.
Естественные запасы следует рассматривать как массу подземных вод, заключенных в поровом пространстве продуктивных водоносных горизонтов внутри контура месторождения (участка), которая может быть высвобождена за счет гравитационных сил. Полная масса воды в поровом пространстве продуктивных горизонтов представляет собой геологические запасы. Геологические запасы включают и так называемые упругие запасы, высвобождающиеся из порового пространства при частичной или полной сработке пластового давления. В случае снижения уровня ниже кровли продуктивного комплекса может быть извлечена гравитационная масса воды, определяемая коэффициентом водоотдачи и объемом осушенных водовмещающих пород. Эта масса воды также является частью геологических запасов и называется емкостными запасами.
Естественные запасы, участвующие в формировании эксплуатационных запасов подземных вод, складываются из упругих и, в некоторых случаях, емкостных запасов.
Эксплуатационные запасы оцениваются по результатам комплекса геологоразведочных работ на конкретных месторождениях для удовлетворения потребностей в теплоносителе конкретных хозяйственных объектов.
Величина прогнозных ресурсов и эксплуатационных запасов гидрогеотермальной энергии зависит от применяемой технологии извлечения их из недр.
В настоящее время применяются традиционная технология, базирующая на преимущественном использовании пластовой энергии недр, и технология геоциркуляционных систем (ГЦС), базирующая на обратной закачке отработанного теплоносителя в эксплуатируемый водоносный горизонт. При геоциркуляционной технологии достигается восполнение ресурсов теплоносителя в недрах, поддержание пластового давления и, соответственно, интенсификация процесса извлечения тепловой энергии недр, а также решение проблемы экологически безопасного сброса использованных вод.
Традиционная технология реализуется при фонтанном или насосном способах эксплуатации скважин. При фонтанной эксплуатации производительность скважины ограничивается величиной избыточного устьевого давления, и при малых его значениях эксплуатация скважины, как правило, становится экономически не эффективной.
Создание дополнительного понижения уровня воды в скважинах с помощью погружных насосов позволяет существенно увеличить производительность скважин. Но при этом возникают дополнительные технические проблемы, связанные с созданием высокопроизводительных, высоконапорных насосов, способных работать в условиях высоких температур и коррозионно-агрессивных жидкостей.
Искусственные запасы возникают при разработке продуктивных горизонтов геоциркуляционными технологиями. Их следует понимать как дополнительное количество воды (полезных компонентов, тепла), которое может быть получено из продуктивного горизонта в сравнении с вариантом разработки без применения обратной закачки.
В таблицах 1 и 2 приведены классификация и распределение ресурсов геотермальной энергии по регионам России.
Привлекаемые ресурсы — это дополнительное питание (водное или тепловое) продуктивного горизонта в нарушенных эксплуатацией условиях. К привлекаемым ресурсам следует относить перетекание из смежных горизонтов, отжатие воды из глин, активизацию притока глубинной составляющей при снижении уровня, усиление инфильтрационного питания и др. Привлекаемые ресурсы тепла возникают вследствие охлаждения продуктивного горизонта и активизации теплопритока из окружающих пород или возрастания теплового потока за счет изменения градиента.
Валовой потенциал — средний годовой объем геотермальной энергии, содержащийся в исследуемом массиве горных пород в границах освоенной глубины бурения, при полном ее превращении в полезно используемую энергию.


Технический потенциал — часть валового потенциала, преобразование которого в полезно используемую энергию возможно при данном уровне развития технических средств, при соблюдении требований по охране окружающей среды.
Экономический потенциал — часть технического потенциала, преобразование которого в полезно используемую энергию экономически целесообразно при данном уровне цен на ископаемое топливо, тепловую и электрическую энергию, оборудование, материалы и транспортные услуги, оплату труда и др.
При эксплуатации термальных вод по традиционной технологии из недр извлекается: при фонтанной эксплуатации — (2–10) · 10−2 %, при насосной — (7–56) · 10−2 % запасов термальных вод. При геоциркуляционной технологии этот показатель достигает 20–30%, т. е. на много порядков выше. Коэффициент извлечения тепла из недр составляет (3–17) · 10−3 % при фонтанной эксплуатации, (1–8) · 10−2 % — при насосной, увеличиваясь до 5–13% при применении геоциркуляционной технологии. Соответственно во много раз возрастают и прогнозные ресурсы термальных вод.
Методика оценки геотермальных ресурсов
Общие потенциальные геотермальные ресурсы. Они характеризуют тепловой потенциал толщи пород на прогнозируемую глубину бурения до 10 км. Оцениваются исходя из предпосылки, что массив горных пород можно охладить до температуры окружающей среды, хотя практически вряд ли это возможно. Плотность распределения ресурсов определяется по следующей формуле:
Qо = kCV (Hпр − hнс) (tиз − tос),
где Qо — плотность распределения ресурсов, т у. т./м2; k — коэффициент перехода от тепловой энергии к условному топливу, т у. т./Дж; CV — объемная теплоемкость пород, Дж/(м3 · ◦C); Hпр — прогнозируемая глубина бурения, м; hнс — мощность нейтрального слоя, м; tиз — средняя температура массива, ◦C; tиз = 0,5(tпр + tнс); tпр — температура пород на прогнозируемой глубине, ◦C; tнс — температура нейтрального слоя, ◦C; tос — температура окружающей среды, ◦C.
Технически доступные геотермальные ресурсы рассчитываются в двух режимах, определяемых потребителем: режим 70/20 ◦C — для горячего водоснабжения (ГВС) и 90/40 ◦C — для отопления.
В режиме 70/20 ◦C плотность ресурсов геотермальной энергии определяется следующим выражением:
Qт = kξCV (Hн − Hв) (t’из− 20),
где Qт — плотность ресурсов, т у. т./м2; ξ — коэффициент температурного извлечения (ξ = 0,125); Hн — нижняя граница ресурсного интервала, м (Hн = 6000 м); Hв — верхняя граница ресурсного интервала, м; Hв = [(tв − tнс)/Г] + hнс; t’из = 0,5(tв + tн); tв— температура на верхней границе ресурсного интервала, ◦C (в этом режиме для получения теплоносителя с температурой не менее 70 ◦C средняя температура массива t’из с учетом потерь при транспортировке должна быть не менее 80◦C); tн — температура на нижней границе массива ресурсного интервала, ◦C; tн=Г(Hн − hнс)+tнс. Исходя из положения t’из ≥ 80 ◦C: tв = 2t’из− tн, тогда минимальное значение tв = 160 − tн. При высоких значениях tн вводится ограничение tв ≥ 30 ◦C.
Плотность ресурсов геотермальной энергии в режиме 90/40◦C определяется по формуле:
Qт = kξCV (Hн − Hв) (t’из − 40).
Для обеспечения температуры теплоносителя, равной 90 ◦C, средняя температура массива должна быть не менее 100 ◦C, а заданная температура на верхней границе ресурсного интервала — не менее 50 ◦C.
Экономически эффективные геотермальные ресурсы складываются из двух составляющих: QЭ(1) — теплосодержания рабочего горизонта со средней температурой пород, близкой к потребностям заказчика при условии равных или меньших приведенных затрат на добычу теплоты недр по сравнению с затратами на другие сопоставимые источники энергии; QЭ(2) — теплосодержания нижележащих пород до ограниченной глубины, определяемой из условия равенства затрат на добычу геотермальной энергии и затрат на другие сопоставимые источники энергии.
Методика оценки гидрогеотермальных ресурсов
Оценка гидрогеотермальных ресурсов заключается в определении производительности водозаборного сооружения при заданном понижении уровня воды в скважинах или, наоборот, в прогнозе понижения уровня воды при заданной производительности водозаборного сооружения. Одновременно должно соблюдаться условие, что при расчетном водоотборе качество термальных вод будет удовлетворять необходимым кондициям в течение всего срока эксплуатации водозабора.
Ресурсы термальных (теплоэнергетических) вод подсчитываются как по месторождениям или эксплуатационным участкам с целью обоснования строительства водозаборных сооружений для теплоснабжения конкретных объектов, так и в пределах крупных гидрогеологических регионов для обоснования перспективных генеральных схем использования этих вод на различные нужды народного хозяйства, а также направлений и объемов поисково-разведочных работ.
На месторождениях (участках) оценка выполняется по результатам специальных разведочных работ или по данным эксплуатации действующих водозаборных сооружений.
Расчет прогнозных ресурсов термальных вод выполняется на основе региональных оценок, которые целесообразно осуществлять в пределах отдельных гидрогеологических структур по основным перспективным водоносным комплексам (горизонтам) с последующим их разделением при необходимости на экономические или административные единицы.
Оценка выполняется на основе гидрогеотермического районирования территории с выявлением зон, каждая из которых характеризуется сочетанием усредненных значений основных гидрогеологических и гидрогеотермических параметров, определяющих в комплексе размеры ресурсов и теплоэнергетический потенциал термальных вод, а также геолого-экономические показатели их промышленного освоения.
По результатам оценки ресурсов производится геолого-экономическое районирование перспективных территорий по комплексу показателей, определяющих возможные масштабы, экономический эффект, последовательность изучения и промышленного освоения гидрогеотермальных ресурсов. Региональная оценка прогнозных ресурсов должна не только выявить, сколько термальной воды можно получить в данном перспективном районе и каков ее теплоэнергетический потенциал, но и ответить на вопросы эффективного промышленного освоения ресурсов (методы разработки водоносных горизонтов, способы эксплуатации скважин и их взаимное расположение, возможные схемы энергетических систем и т. д.).
Оценка эксплуатационных запасов термальных вод и их теплоэнергетического потенциала проводится на основании утвержденных кондиций. Кондиции представляют собой совокупность экономически и технологически обоснованных требований к качеству и количеству воды, техническим условиям эксплуатации месторождения при рациональном использовании недр и соблюдении правил охраны окружающей среды.
Кондиции должны учитываться при составлении проектов разработки и обустройства месторождений термальных вод. Для разработки технико-экономических обоснований (ТЭО) кондиций должны привлекаться специализированные проектные или проектно-исследовательские организации.
Основные показатели кондиций, обосновываемые в ТЭО:
- минимальная температура воды (или энтальпия пароводяной смеси) на устье скважины;
- максимально допустимая минерализация и предельное содержание отдельных компонентов или их групп, включая содержание не конденсирующихся газов в парогидротермах (двуокиси углерода, сероводорода, метана, аммиака, азота, водорода, этана);
- минимальные избыточные давления воды или пара на устьях эксплуатационных скважин и максимальные давления на устьях нагнетательных скважин;
- предельные глубины и дебиты эксплуатационных скважин.
Кроме того, в проекте кондиций должны быть обоснованы способы и средства водоподъема, система транспортировки воды до потребителя, согласованный с заказчиком расчетный срок эксплуатации водозабора и режим водоотбора в пределах этого срока, способы удаления использованных вод.
В каждом конкретном случае эксплуатационные запасы оцениваются с учетом заявленной потребности в теплоносителе и наличия действующих водозаборных сооружений с целью установления возможного взаимного влияния проектируемого и действующих водозаборных сооружений и обоснования ожидаемого прироста запасов.
Расчет водозабора включает обоснование рациональной схемы размещения эксплуатационных и нагнетательных (в случае применения ГЦС-технологии) скважин, режима их эксплуатации.
В случаях неравномерного водопотребления в течение года оценка эксплуатационных запасов теплоносителя проводится в двух вариантах: при непрерывном равномерном и заданном неравномерном режимах водопотребления. Ограничивающими показателями являются величины допустимых понижений уровня в эксплуатационных скважинах, а также допустимые с технико-экономических позиций величины давления нагнетания (в случае применения ГЦС-технологии).
При оценке эксплуатационных запасов весьма важно определить срок разработки месторождения, в течение которого количество и качество подземных вод должно соответствовать техническим условиям, а ожидаемые величины снижения давления или уровня в скважинах не превысят допустимых.
При оценке эксплуатационных запасов месторождений теплоэнергетических вод используют в основном гидродинамический и гидравлический методы.
Гидродинамический метод базируется на достаточно строгих гидродинамических и теплофизических решениях и применяется для пластовых систем и приуроченных к ним месторождений. Метод основан на прогнозных расчетах изменения дебитов и уровней с учетом параметров водоносных пород, определяемых по данным гидрогеологических работ в период разведки месторождений.
При добыче глубоких подземных вод проявляются упругие свойства вод и пород, что приводит к длительному неустановившемуся притоку подземных вод к скважинам. Интенсивность и характер изменения уровней и дебитов зависит от ряда факторов:
- водопроводимости и пьезопроводимости и их изменения по площади эксплуатационного участка и за его пределами в зоне влияния водозабора;
- граничных условий месторождения и эксплуатационного участка, определяемых наличием областей создания напора, выклиниванием или резким изменением мощности или литолого-фациальных свойств водовмещающих пород;
- суммарного дебита водозабора и дебитов отдельных скважин и их изменения в процессе эксплуатации.
Водопроводимость грунтов и пород T, м2/сут или м2/с, — это произведение коэффициента фильтрации k на мощность m водоносного пласта:
T = km.
Водопроводимость характеризует единичный (на единицу ширины потока) фильтрационный расход по простиранию водоносного пласта при градиенте напора, равном единице.
Пьезопроводность водоносных пластов представляет собой отношение водопроводимости T к водоотдаче μ:
a = T/μ
В напорных пластах вместо гравитационной водоотдачи μ принимается упругая водоотдача μ.
Пьезопроводность является показателем скорости перераспределения напора и сработки запасов водоносного пласта в условиях неустановившейся фильтрации. Для стационарных потоков, в которых не происходит изменения напоров и сработки запасов во времени, а также при жестком режиме фильтрации, когда не рассматриваются упругие деформации воды и фильтрующей породы, пьезопроводность исключается.
Коэффициент гравитационной водоотдачи μ представляет собой отношение объема воды к объему осушенной части пород, а коэффициент упругой водоотдачи μ∗ можно рассматривать как отношение объема извлекаемой из пласта воды к объему воронки депрессии, образующейся в пьезометрической поверхности пласта.
Основной расчетной формулой при подсчете эксплуатационных запасов для скважины с постоянным дебитом является:

На практике обычно используют логарифмическое приближение, которое с точностью до 5% может заменить (3 формула) при соблюдении условия

При этом формула для определения понижения уровня в скважине примет вид:

что соответствует квазиустановившемуся характеру движения подземных вод к скважинам, когда темп снижения давления во всех точках внутри зоны фильтрации становится одинаковым. В этой зоне кривые понижения давления (уровня) во времени перемешаются параллельно друг другу.
При подсчете запасов водозаборные сооружения задаются либо как группа взаимодействующих скважин, произвольно размещенных на местности, либо в виде упорядоченных систем — линейной, площадной, кольцевой и др.
Расчетный срок эксплуатации скважин в соответствии с установившейся практикой оценки запасов подземных вод рекомендуется принимать равным 10000 суток (около 27 лет).
Эксплуатационные запасы считаются обоснованными тогда, когда их количество и качество соответствует кондициям и прогнозное снижение уровня термальных вод в скважинах к концу расчетного срока эксплуатации не превышает допустимой величины.
Оценка эксплуатационных запасов термальных вод и парогидротерм с применением ГЦС-технологии эксплуатации месторождений так же, как и при традиционных фонтанном и насосном способах эксплуатации, выполняется гидродинамическим методом. При этом должны решаться следующие задачи:
- гидродинамический прогноз изменения пластового давления, избыточного давления на устье эксплуатационных скважин и давления на устье нагнетательных скважин;
- прогноз изменения температуры теплоносителя в пластовых условиях и эксплуатационных скважинах к концу расчетного срока эксплуатации;
- прогноз приемистости нагнетательных скважин;
- определение теплофизических параметров теплоносителя, водовмещающих пород, ограничивающих водоупоров, а также активной пористости;
- прогноз возможных изменений фильтрационных параметров в призабойных зонах нагнетательных скважин и продуктивном пласте за счет процессов физико-химического взаимодействия закачиваемых вод с пластовыми водами и водовмещающими породами.
В результате рассмотрения этих задач необходимо решить оптимизационную задачу по сохранению первоначальной температуры теплоносителя в призабойных зонах эксплуатационных скважин к концу срока эксплуатации или понижению указанной температуры на заранее заданную величину.
Гидравлический метод основан на изучении связи дебита с понижением динамического уровня при установившемся притоке подземных вод к одиночным и взаимодействующим скважинам. Оценка эксплуатационных запасов в этом случае производится путем гидравлических расчетов на основе экстраполяции полученных опытных данных. Этот метод широко применяется при оценке эксплуатационных запасов в сложных гидрогеологических условиях, не поддающихся простейшей схематизации для обоснованных гидродинамических расчетов. Этот метод является основным при оценке запасов минеральных и термальных вод в горноскладчатых областях и в районах сложного геологотектонического строения. Опытно-эксплуатационные откачки обычно проводятся при высоких дебитах, близких к проектным, для выявления характера изменения понижения уровня во времени и последующего прогноза понижений на расчетный срок работы водозаборных сооружений.
Комбинированный метод основан на совместном использовании гидродинамического и гидравлического методов. В таких случаях гидравлическим методом определяется понижение уровня при проектном дебите скважин и с учетом их взаимодействия на период времени опытных работ. Дополнительное понижение уровня на конец расчетного периода эксплуатации скважин определяется гидродинамическим методом.
Балансовый метод основан на анализе приходных и расходных статей баланса подземных вод. Для глубоких термальных вод платформенных областей, характеризующихся весьма малыми скоростями фильтрации, часто полным отсутствием проявлений на поверхности и широким региональным распространением, оценка запасов этим методом неприемлема. Однако для минеральных, термальных вод горноскладчатых областей и парогидротерм областей современного вулканизма балансовые расчеты имеют важное значение с точки зрения оценки общих ресурсов таких вод.
Теплоэнергетический потенциал ресурсов термальных вод
Теплоэнергетический потенциал ресурсов термальных вод, возможные масштабы и технико-экономические показатели их практического использования, а также их возможный вклад в топливно-энергетический баланс отдельных экономических районов и страны в целом в значительной мере определяются обоснованностью принимаемого в расчетах полезно используемого перепада температуры вод tисп:
tисп = tс − tк,
где tс — усредненная за расчетный период разработки температура термальных вод, ◦C; tк — конечная температура воды после использования, ◦C.
Определение конечной температуры вызывает в большинстве случаев значительные трудности. В расчетах условного теплоэнергетического потенциала ресурсов термальных вод рекомендуется принимать единое значение tк = 30–35 ◦C, рассчитанное на максимальное использование тепла. При этом подчеркивается, что объемы эксплуатационных ресурсов и теплоэнергетический потенциал термальных вод при разработке водоносных горизонтов с поддержанием пластового давления в значительной степени будут зависеть от заданного уровня охлаждения пласта на конец расчетного периода. Этот показатель должен определяться из условия сохранения первоначальной пластовой температуры вблизи забоев эксплуатационных скважин в течение всего расчетного срока при температуре нагнетаемой воды 30–35◦C.
Конечная температура зависит от начальной температуры воды, вида ее практического использования, применяемых схем теплоснабжения или выработки электроэнергии, а также конструкций теплоэнергетического оборудования.
В технологических системах со сбросом отработанной воды на поверхность необходимо добиваться максимального использования температурного потенциала с доведением конечной температуры до 5 ◦C и даже еще ниже, так как неиспользованное низкопотенциальное тепло в таких системах считается безвозвратно утерянным. На сегодня имеются перспективные системы теплоснабжения с тепловыми насосами, которые позволяют добиваться такого результата.
В системах с ГЦС-технологиями для каждого конкретного случая с учетом геолого-геотермических условий и физико-химических процессов, протекающих при эксплуатации систем, необходимо решать оптимизационную задачу. С одной стороны, максимально возможное снижение температуры закачиваемой воды приводит к значительному дополнительному съему тепла с циркулирующей термальной воды, а также увеличению плотности закачиваемой воды за счет дополнительного охлаждения воды и, естественно, к увеличению гидростатического давления в нагнетательной скважине (эффект термопресса).
С другой стороны, снижение температуры закачиваемой воды приводит к увеличению ее вязкости и, соответственно, к увеличению фильтрационных сопротивлений в эксплуатируемом пласте, что может привести к потерям давления в пласте, превалирующим над эффектом термолифта. Кроме того, при снижении температуры воды усиливаются процессы солеотложений, что также создает дополнительные проблемы при эксплуатации системы. Оптимизацию необходимо производить с учетом перечисленных противоположных факторов.
Из анализа сказанного можно заключить следующее: конечной температурой использованной термальной воды нужно считать такую температуру, ниже которой не существует экономически эффективных способов ее использования в данных территориально-климатических условиях.
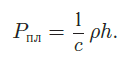
Теплоэнергетический потенциал геотермальной скважины определяется по формуле:

Категории эксплуатационных запасов
Оценка эксплуатационных запасов термальных вод осуществляется на всех стадиях изысканий. Достоверность запасов отражается в их категоризации. Согласно «Классификации эксплуатационных запасов и прогнозных ресурсов подземных вод» эксплуатационные запасы подразделяются на освоенные (категория A), разведанные (категория B), предварительно оцененные (категория C1), выявленные (категория C2) и прогнозные ресурсы (категория P).
Запасы категории A оцениваются на основе анализа данных эксплуатации на разрабатываемых месторождениях и являются основой для проектирования расширения водозабора.
Запасы категории B подсчитываются на разведанных месторождениях и являются основанием для проектирования водозабора и эксплуатации подземных вод.
Запасы категории C1 подсчитываются на предварительно оцененных месторождениях по результатам поисково-оценочных работ и предназначены для обоснования целесообразности разведки месторождения и использования подземных вод, а также составления проекта разведочных работ.
Запасы категории C2 подсчитываются на выявленных месторождениях по результатам спец иальных поисковых работ и предназначены для оценки и учета потенциальных возможностей месторождений, а также для обоснования целесообразности постановки на них поисково-оценочных работ.
Прогнозные ресурсы категории P оцениваются по результатам региональных гидрогеологических исследований и являются основой для постановки поисковых или поисково-оценочных работ на площадях, перспективных для выявления новых месторождений подземных вод.
Запасы категории B подсчитываются применительно к согласованным проектным схемам и конструкциям водозабора, заданной потребности и графику отбора теплоносителя с учетом заданного допустимого влияния на окружающую природную среду; запасы категории C1 — применительно к условно принятой схеме водозабора и заявленной потребности теплопотребителей; C2 — применительно к условным обобщенным схемам эксплуатации. При оценке прогнозных ресурсов геолого-экономические аспекты обоснования системы размещения и схемы водозаборных сооружений специально не рассматриваются и устанавливаются на основании принципиальных оценок возможностей практического использования теплоносителей.
Аналогичные требования предъявляются и при оценке теплоэнергетического потенциала запасов. Так, оценка потенциала запасов категории В выполняется применительно к проектным вариантам видов и технологий использования теплоносителей. Оценка потенциала запасов категорий C1 и C2 выполняется применительно к проработанным или намеченным видам и технологиям их теплоэнергетического использования. Оценка прогнозных ресурсов сопровождается, как правило, определением общего теплоэнергетического потенциала термальных вод.
Факторы, влияющие на дебит геотермальной скважины
Для глубоких скважин, вскрывающих водоносные горизонты с относительно высокими температурами в пласте, понижение уровня подземных вод в пласте S в (формуле 3) не равно понижению уровня на устье скважины Sу. Это обусловлено проявлением эффектов термолифта и газлифта, а также гидравлических потерь напора в водоподъемных трубах эксплуатационной скважины. Зависимость между S и Sу имеет следующий вид:
S = Sу − hтр + Sт + Sг,
где hтр — гидравлические потери напора на трение, м; Sт, Sг — поправки к уровню, учитывающие термолифт и газлифт, м.
Потери напора на преодоление гидравлических сопротивлений в водоподъемных трубах при движении воды от пласта до устья скважин делятся на две группы:
- потери напора по длине потока, затрачиваемые на преодоление сопротивления трения;
- местные потери напора, вызываемые резким изменением конфигурации границ потока.
В силу этого понижение уровня на устье будет больше, чем понижение уровня в пласте на величину общих потерь. Из общих потерь линейные потери напора на трение составляют около 70 %, а остальные 30% приходятся на местные сопротивления.
Потери напора и распределение скоростей по сечению потока существенно различны для ламинарного и турбулентного режима течения жидкости. Критерием, определяющим режим движения потока, служит безразмерное число Рейнолдса (Re):

Критическое значение числа Рейнолдса можно считать равным 2300.
Потери напора по длине как при ламинарном, так и при турбулентном течении в трубах круглого сечения определяются по формуле Дарси–Вейсбаха:

При ламинарном течении коэффициент λ в формуле Дарси–Вейсбаха определяется по формуле Пуазейля:
λ = 64/Re
При турбулентном течении коэффициент λ определяется по формуле А. Д. Альтшуля:

Потери напора резко возрастают с увеличением скорости течения, т. е. с увеличением дебита скважины и уменьшением диаметра водоподъемных труб, и могут достигать больших величин. В таблице 3 приведены потери напора h на 1000 м длины водоподъемных труб в зависимости от диаметра скважины и ее дебита.

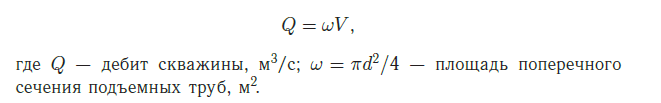
Дебит скважины и скорость течения связаны соотношением

В большинстве случаев в термальных водах в том или ином количестве содержатся растворенные газы. Среди растворенных газов преобладают азот N2, углекислый газ CO2 и метан CH4.
Объем газа (измеренный в стандартных условиях — при атмосферном давлении и температуре 20 ◦C), растворенного в единице объема воды, называют газосодержанием воды или газовым фактором.
Растворимость газов в воде зависит от давления, температуры, химического состава воды и газа.
Важным параметром растворенных газов является давление насыщения, или упругость. Давлением насыщения называется то минимальное давление, при котором весь газ еще находится в растворенном состоянии. Если давление воды больше давления насыщения, то весь газ находится в растворенном состоянии, если давление упало ниже давления насыщения, то из воды выделяется часть газа.
При движении пластовой воды от забоя к устью скважины на определенной глубине, где давление становится равным давлению насыщения, газ начинает выделяться из воды. По мере дальнейшего подъема воды к устью скважины количество выделившегося из нее газа увеличивается, достигая максимальной величины, равной газовому фактору, при атмосферном давлении на поверхности.
Дополнительное приращение напора за счет проявляющегося эффекта газлифта можно определить по формуле:

Эффект газлифта проявляется максимальным образом при P1 = P0.
В таблице 4 приведены результаты расчетов величины Sг в зависимости от C0, P1 и Pг для условий ρ = 1050 кг/м3 и tу = 100 ◦C. Из табличных данных видно, что при высоких значениях газового фактора значения Sг достигают до 100 и более метров. Такое дополнительное приращение напора позволит существенно увеличить эксплуатационный дебит самоизливающейся скважины, а также скважину, статический уровень в которой ниже поверхности земли, после кратковременной насосной эксплуатации, перевести на режим самоизлива.
В глубоких термальных скважинах при определении их дебитов необходимо также учитывать изменение плотности воды в зависимости от изменения температуры.

Поправка к уровню, учитывающая термолифт, определяется по следующей формуле:

Когда скважина находится в покое, разница в температуре воды в пласте и у устья скважины (или у статического уровня не фонтанирующей скважины) будет максимальной. В длительно простаивающей скважине температура по ее стволу распределяется в соответствии с температурным градиентом для данного района (за исключением зоны выше нейтрального слоя).
Средняя температура в стволе простаивающей скважины определяется по формуле:
tст = (tпл + tнс)/2,
где tпл — пластовая температура термальной воды, ◦C; tнс — температура нейтрального слоя, ◦C.
В простаивающей скважине, где статический уровень воды находится ниже нейтрального слоя, средняя температура определяется из следующего выражения:
tст = (tпл + tсу)/2,
где tсу — температура термальной воды у статического уровня, ◦C,
tсу = tнс + Г (hсу − hнс).
Здесь Г — геотермический градиент, ◦C/м; hсу — глубина статического уровня от устья, м; hнс — глубина нейтрального слоя.
Средняя температура в эксплуатируемой скважине определяется по формуле:
tд = (tпл + tу)/2,
где tу — устьевая температура термальной воды в эксплуатируемой скважине.
При пуске скважины в эксплуатацию по мере прогревания окружающих горных пород в скважине устанавливается новый температурный режим, зависящий главным образом от дебита скважины. Потери тепла в стволе скважины зависят от ее глубины, диаметра и дебита.
Из практики эксплуатации геотермальных скважин следует, что при дебитах более 500 м3/сут эти потери не превышают 10 %. В этих условиях для оценочных расчетов можно принять tу = 0,9 tпл.
В таблице 5 приведены значения приращения напора Sт за счет эффекта термолифта, проявляющегося при эксплуатации скважины.
Расчеты проведены при tнс = 15 ◦C и Г = 0,035 ◦C/м. Пластовая температура tпл определяется по формуле (TH = T0 +ΓH,), а значения плотности воды, соответствующие средним значениям температуры в стволе скважины при ее простаивании и эксплуатации, берутся из справочных табличных данных физических свойств воды.

Из расчетных значений следует, что с увеличением глубины значения Sт увеличиваются и для глубоких скважин могут достигать 50 м и более.
Характеристика подземной гидросферы
Происхождение подземных вод
Подземная вода может образовываться непосредственно под землей за счет различных химических реакций или проникать в горные породы из гидросферы и атмосферы. По условиям образования различают следующие основные типы подземных вод: конденсационные, инфильтрационные, седиментационные, возрожденные и магматические.
Конденсационные воды образуются при конденсации водяных паров атмосферы в порах и трещинах самых верхних слоев горных пород в зоне аэрации. Объем таких вод незначителен.
Инфильтрационные воды образуются при просачивании в горные породы атмосферных осадков и поверхностных вод суши. Инфильтрационные воды широко распространены в верхних горизонтах земной коры, где происходит интенсивный водообмен. К этому типу относятся пресные подземные воды, используемые для водоснабжения. Встречаются и древние инфильтрационные воды, которые обычно залегают на значительной глубине (до 1000 м и более). Такие воды могут сохраняться в условиях слабого водообмена.
Седиментационные воды образуются в процессе отложения (седиментации) морских осадков. По мере погружения происходит изменение минералогического состава морских осадков. Одновременно происходит изменение химического состава вод, насыщающих осадок и взаимодействующих с ним.
Нередко к седиментационным относят и воды, проникшие в горную породу во время трансгрессии (наступления) моря на сушу. Такие воды имеют морское происхождение, но, строго говоря, не являются седиментационными, так как не связаны с отложением и эволюцией осадков.
Древние седиментационные воды сохраняются в толще горных пород после отступления моря, если в условиях затрудненного водообмена они не были замещены водами инфильтрационного происхождения.
Седиментационные воды встречаются в континентальных областях на значительном удалении от побережья, где в глубокой древности был морской бассейн. На континентах седиментационные воды возобновляться не могут, вследствие чего происходит постепенное разбавление и вытеснение их инфильтрационными водами.
Возрожденные воды образуются при действии высоких температур на минералы, содержащие воду. При этом химически связанные воды высвобождаются и переходят в свободное состояние. При дегидратации минералов может выделяться значительное количество воды.
Образование возрожденных вод происходит в разных термодинамических зонах земной коры. Например, гипс начинает терять воду при температурах 80–90 ◦C, которые наблюдаются на глубинах 2–3 км. При полном превращении гипса CaSO4·2H2O в ангидрит CaSO4 из каждой тонны гипса высвобождается 210 кг воды. Наибольшее количество возрожденных вод образуется при превращении монтмориллонита, содержащего до 24% воды, в гидрослюды, в которых содержание воды обычно до 10 %. Такая перестройка монтмориллонита происходит на глубине 2 км и более, причем выделяется очень большое количество возрожденной воды, нередко превышающее объем воды в смежных с глинами породах-коллекторах. Возрожденные воды в момент своего выделения являются пресными.
Магматические воды выделяются из расплавленной магмы. При движении магмы к поверхности она может поглощать воды различного генезиса из пород, с которыми магма контактирует. Магма также несет с собой некоторое количество воды, изначально в ней содержавшейся, которая собственно и есть магматическая вода подкорового происхождения. Наиболее сложным и дискуссионным является вопрос
о происхождении таких вод.
Еще в XVI в. Агрикола высказал мнение о том, что в земной коре могут сгущаться пары воды, идущие с больших глубин. В начале XX века эта идея была освещена в трудах австрийского ученого Э. Зюсса, который утверждал, что внедрение магмы из больших глубин в верхние горизонты земной коры всегда сопровождается выходом на поверхность летучих соединений, в том числе паров воды. Такие воды, впервые попавшие с больших глубин на поверхность Земли или в верхние ее горизонты, Э. Зюсс назвал ювенильными, т.е. впервые попавшими в условия земного существования.
Дальнейшее развитие теория ювенильного происхождения подземных вод получила в трудах академика А. П. Виноградова. В лабораторных условиях, при помощи зонного плавления, был воспроизведен механизм процесса выплавления и дегазации вещества мантии Земли. Было доказано, что образование легкоплавкой фазы при зонном плавлении вещества мантии (базальтовых пород) сопровождается дегазацией прежде всего воды, а затем растворенных в воде газов. Из этих соединений в дальнейшем сформировались океаны и атмосфера Земли.
Некоторые исследователи считают, что дегазация мантии продолжается в настоящее время, и этот процесс влияет на формирование подземных вод, залегающих на больших глубинах. По мнению В.Ф. Дерпгольца, через толщу земной коры к поверхности происходит непрерывное и повсеместное движение воды и других летучих компонентов из мантии.
Условия залегания термальных подземных вод
По условиям залегания термальные воды подразделяются на пластовые безнапорные, пластовые напорные, трещинно-поровые, трещинные, трещинно-каверновые и трещинно-жильные.
Пластовые безнапорные воды встречаются в пористых горизонтах, ограниченных сверху и снизу водоупорами, при условии неполного заполнения водой коллектора.
Пластовые напорные воды заполняют пористые коллекторы, изолированные в кровле и подошве водоупорными толщами. В случае, когда пористые коллекторы пересекаются сетью трещин, содержащиеся в них воды называют трещинно-поровыми.
Трещинные воды располагаются в трещинах плотных пород, таких как плотные песчаники, кварциты, мергели, известняки и доломиты, метаморфические породы и граниты, глинистые сланцы аргиллиты.
Вода заполняет в них трещины тектонического происхождения и трещины выветривания. В тех случаях, когда в трещиноватых породах имеются каверны, развитые обычно в известковистых породах, содержащиеся в таких смешанных коллекторах воды называют трещиннокаверновыми.
Изредка встречаются трещинно-жильные воды, заполняющие крупные трещины и карстовые каналы, часто приуроченные к системам тектонических сбросов и других нарушений.
Водоносные породы объединяются в водоносные горизонты, водоносные комплексы и гидрогеологические (или гидрогеотермические) этажи.
Водоносный горизонт представляет собой выдержанную по площади и разрезу насыщенную гравитационной водой толщу горных пород с близкими гидродинамическими и гидрохимическими условиями, ограниченную в подошве и кровле водоупорными породами.
Водоносный комплекс включает обычно несколько водоносных горизонтов, гидродинамически связанных друг с другом и имеющих близкий химический состав и минерализацию.
Гидрогеологические этажи объединяют несколько водоносных комплексов. Гидрогеологические этажи, как правило, разделены между собой мощными регионально выдержанными водоупорами, обычно сложенными толщами глинистых отложений. Гидрохимические и другие характеристики гидрогеологических этажей существенно различаются.
Под бассейном пластовых вод понимается скопление вод, приуроченное преимущественно к осадочным породам, заполняющим отрицательные тектонические элементы земной коры (синеклизы, впадины, прогибы). Бассейн пластовых вод состоит из проницаемых водоносных пластов, объединяемых в горизонты, комплексы и этажи с напорными водами, разделенных водоупорами.
Геогидродинамические системы напорных вод подразделяются на инфильтрационные и эксфильтрационные.
В инфильтрационных водонапорных системах напор создается за счет инфильтрации атмосферных и поверхностных вод.
В эксфильтрационных водонапорных системах напор в водоносных пластах создается за счет фильтрационного удаления жидкости из одних пластов (или их частей) в другие пласты (или их части) без пополнения запасов из внешних областей питания.Эксфильтрационные водонапорные системы подразделяются на элизионные литостатические, геодинамические и термогидродинамические.
В элизионных литостатических водонапорных системах напор создается вследствие выжимания вод из уплотняющихся осадков и пород в коллекторы и частично за счет уплотнения самих коллекторов с выжиманием вод из одних частей в другие. Наибольшее количество жидкости отжимается из зон максимальной мощности осадков, т. е. из наиболее погруженных частей впадин.
В элизионных геодинамических водонапорных системах тектоническое сжатие приводит к возникновению высокой пластовой энергии. Такие системы встречаются преимущественно в областях интенсивной складчатости и повышенной сейсмичности.
В элизионных термогидродинамических водонапорных системах напор создается в результате высвобождения жидкости в процессе термической дегидратации минералов.
Зональность подземных вод
В пластовых водонапорных системах выделяются три гидродинамические и газогидрохимические зоны: свободного водообмена, затрудненного водообмена и застойного режима, которые различаются как по генезису подземных вод, так и по природе энергетического потенциала.
Зона свободного водообмена занимает верхние части разреза до глубины 500 м. В пределах зоны происходит интенсивное движение вод со скоростью от десятков сантиметров до метров в год и более, температура не превышает 20 ◦C. Природа энергетического потенциала гидростатическая. Воды обычно пресные или слабой минерализации, инфильтрационного происхождения. В подземных водах этой зоны развиты преимущественно атмосферные газы (азот, кислород, диоксид углерода). Геохимическая обстановка в зоне окислительная. На формирование геохимической характеристики вод большое влияние оказывают климатические и другие физико-географические условия.
Зона затрудненного водообмена является промежуточной между зоной свободного водообмена и застойного режима и залегает на глубинах 500–1500 м. Воды пластовые, напорные. В пределах зоны воды движутся от областей инфильтрации к погруженным частям бассейна со скоростью от единицд о десятков сантиметров в год. Природа энергетического потенциала гидростатическая. В пополнении ресурсов подземных вод зоны наряду с водами инфильтрационного генезиса определенную роль играют и седиментационные воды. Температура вод меняется в диапазоне 20–40 ◦C. Воды хлоридно-кальциевые, иногда хлоридно-магниевые и гидрокарбонатно-натриевые с минерализацией 5–10 г/л. В водах растворены обычно газы смешанного (азотно-углеводородного и углеводородно-азотного) состава. В этой зоне окислительная обстановка сменяется переходной (окислительно-восстановительной). В формировании геохимической обстановки подземных вод этой зоны поверхностные факторы заметной роли не играют.
Зона застойного режима занимает нижние части осадочного чехла и залегает на глубинах 1500–4000 м. Напоры подземных вод в пределах зоны в значительной степени определяются геостатическим давлением. Движение подземных вод очень замедленное, скорость составляет от единицы о нескольких десятков миллиметров в год. Температуры вод 40–100 ◦C и более. Воды обычно высокоминерализованные, хлоридно-кальциевого типа, главным образом седиментационного генезиса.
С глубиной возрастает роль вод отжатия, возрожденных и литогенных вод. Газы, растворенные в водах, преимущественно углеводородного состава, в них, наряду с метаном, отмечается повышенное содержание его гомологов. Геохимическая обстановка в пределах зоны повсеместно восстановительная.
Теплоэнергетические воды
Под термином «теплоэнергетические воды» понимаются природные подземные воды, пригодные для использования в качестве источника получения тепла и (или) электроэнергии. Они подразделяются на термальные воды и парогидротермы.
Основным показателем для отнесения подземных вод к категории теплоэнергетических является их температура. Однако четких и достаточно обоснованных температурных критериев для выделения рассматриваемой категории вод не имеется. Одни исследователи считают, что термальной можно считать воду температурой выше 20 ◦C (Б.Ф. Маврицкий), другие исследователи к термальным водам относят воды, температура которых превышает температуру человеческого тела (37 ◦C).
В «Инструкции по применению классификации эксплуатационных запасов подземных вод к месторождениям термальных вод» гласит: «К термальным водам теплоэнергетического назначения относятся подземные воды с температурой более 35◦C независимо от их химического состава. В отдельных случаях для теплоснабжения могут быть использованы субтермальные воды с температурой от 20 до 35 ◦C. По температурному и агрегатному (фазовому) состоянию термальные воды подразделяются на собственно термальные с температурой при выходе на поверхность до 100 ◦C и перегретые (пароводяные смеси, сухой пар) с температурой более 100 ◦C. В группе собственно термальных вод выделяются воды низкопотенциальные с температурой до 70 ◦C и среднепотенциальные с температурой от 70 ◦C до 100 ◦C. Перегретые воды относятся к группе высокопотенциальных естественных теплоносителей».
На наш взгляд, термальной является вода подземных источников, использование которой на теплоэнергетические цели в данных территориально-климатических условиях позволяет получить положительный экономический эффект за счет ее температуры.
К примеру, в районах с холодными климатическими условиями подземную воду с температурой 15–20 ◦C можно успешно использовать для оттаивания мерзлых грунтов (рытье котлованов, горнопроходческие работы и т. д.), тогда как прямое использование такой воды на теплоэнергетические цели в южных районах не имеет практического
смысла.
Существует несколько классификаций подземных вод по температурному признаку. В таблице 1 приведена одна из существующих классификаций теплоэнергетических вод.

Воды низкопотенциальные (с температурой 35–70 ◦C) можно эффективно использовать для обогрева открытого грунта, оттаивания мерзлых пород, интенсификации рыбоводства, для закачки в нефтеносные пласты, для технологических процессов, требующих низкопотенциальных теплоносителей, в теплонасосных системах теплоснабжения.
Для прямого теплоснабжения объектов различного назначения эти воды имеют ограниченное применение. В основном они используются в районах с мягким климатом или в любых районах с применением тепловых насосов или пикового догрева.
Воды среднепотенциальные (с температурой 70–100 ◦C) могут эффективно использоваться для теплоснабжения промышленных, сельскохозяйственных и коммунально-бытовых объектов, для технологических нужд, заводнения нефтяных залежей, выработки электроэнергии в бинарных ГеоЭС, системах теплоснабжения в комбинации с тепловыми насосами.
Воды высокопотенциальные (с температурой более 100 ◦C) также могут эффективно использоваться для теплоснабжения и выработки электроэнергии. Слабоперегретые (100–150 ◦C) воды можно использовать в бинарных ГеоЭС, а воды более высокой температуры в одноконтурных ГеоЭС.
Все перегретые воды в пластовых условиях находятся, как правило, в жидком состоянии, поскольку пластовое давление обычно превышает давление насыщенного пара при данной температуре. Вскипание жидкости с образованием двухфазного потока происходит в стволе скважины, и на поверхность выводится пароводяная смесь (ПВС) с различным соотношением воды и пара, в зависимости от тепловых параметров вскрытого теплоносителя. Содержание пара увеличивается с ростом температуры: для слабо перегретых вод содержание пара, получаемого на поверхности, не превышает 10%, а в диапазоне температур 200–300 ◦C составляет в среднем 20–40%.
Основной теплоэнергетической характеристикой ПВС является ее энтальпия, или теплосодержание, величина которой находится в прямой зависимости от содержания пара в ПВС. Энтальпия ПВС с содержанием пара до 10% составляет не более 630–670 кДж/кг, энтальпия ПВС с содержанием пара 20–40% достигает 1260–1470 кДж/кг.
Пластовый флюид в виде пара встречается крайне редко. Резервуары, содержащие пар, характеризуются довольно однообразными температурами и давлениями: температура в пределах 240 ◦C, давление около 3,2 МПа. На поверхности скважинами выводится сухой насыщенный или перегретый пар с энтальпией 2800–3000 кДж/кг, используемый для выработки электроэнергии.
Месторождения теплоэнергетических вод
По геолого-гидрогеологическим и геотермическим условиям месторождения теплоэнергетических вод подразделяются на три основных типа:
- месторождения пластового типа в артезианских бассейнах платформ и плит;
- месторождения пластового типа в артезианских бассейнах, приуроченных к предгорным и межгорным впадинам горно-складчатых областей;
- месторождения трещинно-жильного типа горно-складчатых областей.
Более 90% эксплуатационных запасов теплоэнергетических вод в России приходится на месторождения первых двух типов, приуроченных к гидрогеотермическим системам пластового типа.
Пластовые системы платформенных артезианских бассейнов характеризуются большими размерами, сравнительно спокойным залеганием продуктивных горизонтов (комплексов) в мезозойских и кайнозойских отложениях, относительной однородностью фильтрационных свойств, выдержанностью на больших площадях гидрогеохимических и геотермических показателей, высокими гидростатическими напорами вод, значительными величинами эксплуатационных запасов.
По количеству продуктивных горизонтов месторождения в таких системах могут быть одно- и многопластовыми. По характеру водовмещающих отложений водоносные комплексы месторождений подразделяются на поровые и порово-трещинные, приуроченные в основном к терригенным и терригенно-карбонатным коллекторам (пески, песчаники, мергели, известняки).
Эксплуатационные запасы месторождений в артезианских бассейнах платформенного типа формируются главным образом за счет упругих запасов эксплуатируемых водоносных горизонтов. Перетекание из соседних горизонтов и отжатие из глинистых прослоев отсутствует или имеет подчиненное значение.
К месторождениям такого типа относятся Тобольское и Омское в пределах Западно-Сибирского артезианского бассейна.
Пластовые водонапорные системы предгорных и межгорных артезианских бассейнов и артезианских склонов, как и платформенных бассейнов, приурочены к глубоким частям разреза. Месторождения отличаются более сложным строением и меньшими размерами (десятки–сотни квадратных километров) по сравнению с месторождениями первого типа и также могут быть одно- и многопластовыми. Для месторождений этого типа характерна, как правило, фациальная изменчивость водовмещающих пород, приводящая часто к существенному изменению фильтрационных свойств пород на небольших расстояниях. Гидрохимическая обстановка часто весьма быстро меняется по площади и по разрезу.
Характерная черта рассматриваемых водонапорных систем — весьма высокие избыточные напоры термальных вод, достигающие часто сотен метров. Воды, как правило, сильно газонасыщены и отличаются повышенными температурами.
Для месторождений предгорных и межгорных артезианских бассейнов в большинстве случаев характерны поровые и порово-трещинные коллекторы. Эксплуатационные запасы частично обеспечиваются упругими запасами, естественными ресурсами эксплуатируемого водоносного горизонта, а также запасами вод, привлекаемыми из других водоносных горизонтов. При значительном понижении уровня возможен подток к водозабору вод иного состава из других горизонтов через тектонически ослабленные зоны и фациальные «окна», а также латерально — вследствие перемещения гидрогеохимической границы в эксплуатационном пласте.
К таким месторождениям относятся большинство месторождений термальных вод Восточного Предкавказья (Ханкальское в Чеченской республике и Махачкала-Тернаирское, Избербашское, Каякентское и другие в Дагестане).
Месторождения теплоэнергетических вод трещинно-жильного типа горно-складчатых областей распространены в районах современного и недавнего вулканизма (Камчатка и Курильские острова). Они приурочены к интрузивным, метаморфическим и вулканогенно-осадочным комплексам пород и связаны с системами крупных тектонических нарушений, формирующих зоны дробления и блоковую структуру месторождений. Эти месторождения отличаются очень сложным строением и имеют локальное распространение. Размеры месторождений не превышают нескольких десятков квадратных километров.
Пористость и проницаемость монолитных блоков пород низкая, фильтрация вод происходит главным образом по системам пересекающихся трещин. Для большинства месторождений характерно наличие очагов разгрузки в виде поверхностных термопроявлений (термальных источников, парогазовых струй).
Эксплуатационные запасы теплоэнергетических вод трещинно-жильных месторождений формируются главным образом за счет естественных ресурсов. Минерализация вод редко превышает 10 г/л.
В районах современного вулканизма распространены месторождения с низко- и среднепотенциальным теплоносителем (до 100 °C в складчатых районах вне областей молодой вулканической деятельности) и высокопотенциальные (выше 100 ◦C), называемые парогидротермами.
Подземные термальные воды (гидротермы)
В земной коре существует подвижный и чрезвычайно теплоемкий энергоноситель – вода, играющая важную роль в тепловом балансе верхних геосфер. Вода насыщает все породы осадочного чехла. Она содержится в породах гранитной и осадочной оболочек, а вероятно, и в верхних частях мантии. Жидкая вода существует только до глубин 10-15 км, ниже при температуре около 700 °С вода находится исключительно в газообразном состоянии. На глубине 50-60 км при давлениях около 3·104 атм исчезает граница фазовости, т.е. водяной газ приобретает такую же плотность, что и жидкая вода.
В любой точке земной поверхности, на определенной глубине, зависящей от геотермических особенностей района, залегают пласты горных пород, содержащие термальные воды (гидротермы). В связи с этим в земной коре следует выделять еще одну зону, условно называемую «гидротермальной оболочкой». Она прослеживается повсеместно по всему земному шару только на разной глубине. В районах современного вулканизма гидротермальная оболочка иногда выходит на поверхность. Здесь можно обнаружить не только горячие источники, кипящие грифоны и гейзеры, но и парогазовые струи с температурой 180-200° С и выше.
Температура подземных вод колеблется в широких пределах, обусловливая их состояние, влияя на состав и свойства. В соответствии с температурой теплоносителя все геотермальные источники подразделяют на эпитермальные, мезотермальные и гипотермальные.
К эпитермальным источникам обычно относят источники горячей воды с температурой 50-90 °С, расположенные в верхних слоях осадочных пород, куда проникают почвенные воды.
К мезотермальным источникам относят источники с температурой воды 100-200 °С.
В гипотермальных источниках температура в верхних слоях превышает 200 °С и практически не зависит от почвенных вод.
Происхождение термальных вод может быть связано с деятельностью тепловых очагов, но чаще всего вода, тем или иным способом попадая в пласт породы, совершает долгий путь, пока не приходит в контакт с тепловым потоком или постепенно разогревается, отбирая тепло у пород.
Жидкая фаза воды и тепло могут происходить из одного источника лишь в том случае, если таковым является остывающий магматический расплав. Перегретая вода в виде паровых струй выделяется из расплава вместе с газами и легколетучими компонентами, устремляясь в верхние, более холодные горизонты. Уже при температурах 425-375 °С пар может конденсироваться в жидкую воду; в ней растворяется большинство летучих компонентов – так появляется гидротермальный раствор «ювенильного» (первозданного) типа. Под термином «ювенильные» геологи подразумевают воды, которые никогда прежде не участвовали в водообороте; такие гидротермы в прямом смысле слова являются первичными, новообразованными. Полагают, что подобным образом сформировалась вся поверхностная гидросфера морей и океанов в эпоху молодой магматической активности планеты, когда только-только зарождались твердые консолидированные «острова» материковых платформ.
Прямой противоположностью «ювенильных» вод являются воды инфильтрационного происхождения. Если «ювенильные» воды, отделяясь от магматического расплава, поднимаются к поверхности, то преобладающее движение инфильтрационных вод – от поверхности вглубь. Источник вод этого типа представляет собой атмосферные осадки или вообще поверхностные водотоки. По поровому пространству пород или трещинным зонам эти воды проникают (инфильтруются) в более глубокие горизонты. По пути движения они насыщаются различными солями, растворяют подземные газы, нагреваются, отбирая тепло у водопроводящих пород.
В зависимости от глубины проникновения инфильтрационных вод они становятся более или менее нагретыми. При средних геотермических условиях для того, чтобы инфильтрационные воды стали термальными (т.е. с температурой более 37 °С), необходимо их погружение на глубину 800-1000 м.
Инфильтрационные гидротермы способны изливаться на поверхность в виде горячих источников, если существует возможность разгрузки воды на поверхность по разломам, выклиниваниям слоев, что происходит в более низких относительно области питания участках. Причем, чтобы вода оставалась термальной, подъем ее к поверхности должен происходить очень быстро, например, по широким трещинам разломов. При медленном подъеме гидротермы остывают, отдавая аккумулированное тепло вмещающим породам. Однако, если пробурить скважину на глубину 3-4 тыс. м и обеспечить быстрый подъем воды, можно получить термальный раствор с температурой до 100 °С. Все это касается областей со средними геотермическими показателями и не относится к вулканическим районам или зонам недавнего горнообразования.
Вулканический тип термальных вод следует выделить особо. Как уже говорилось, горячие источники вулканических районов нельзя целиком считать «ювенильными», т. е. магматическими. Опыт исследований показывает, что в подавляющем случае вода вулканических терм имеет поверхностное инфильтрационное происхождение. Помимо гейзеров вулканический тип гидротерм включает грязевые грифоны и котлы, паровые струи и газовые фумаролы.
Все перечисленные типы термальных вод имеют разнообразнейший химический и газовый состав. Их общая минерализация колеблется от ультрапресных категорий (менее 0,1 г/л) до категорий сверхкрепких рассолов (более 600 г/л). Гидротермы содержат в растворенном состоянии различные газы: активные (агрессивные), такие, как углекислота, сероводород, атомарный водород, и малоактивные – азот, метан, водород.
В геотермальной энергетике могут быть использованы практически все виды термальных вод: перегретые воды – при добыче электроэнергии, пресные термальные воды – в коммунальном теплообеспечении, солоноватые воды – в бальнеологических целях, рассолы – как промышленное сырье.
Запасы и распространение термальных вод
К областям распространения месторождений термальных вод относятся: вулканическое кольцо бассейна Тихого океана, Альпийский складчатый пояс, рифтовые долины континентов, срединно-океанические хребты, платформенные погружения и предгорные краевые прогибы (рис. 9.3.1).

По своему происхождению месторождения термальных вод можно подразделить на два типа, различающиеся способом переноса тепловой энергии.
Первый тип образуют геотермальные системы конвекционного происхождения, отличающиеся высокой температурой вод, разгружающихся на дневную поверхность. Это районы расположения современных или недавно потухших вулканов, где на поверхность выходят не только горячие воды, но и пароводяная смесь с температурой до 200 °С и более. На сегодняшний день все геотермальные электростанции работают в районах современного вулканизма.
К месторождениям конвекционного типа относятся также гидротермальные проявления так называемых рифтовых зон, характеризующихся активным тектоническим режимом и умеренно повышенными геотермическими градиентами – 45-70 °С/км. (Рифтовые зоны и связанные с ними термоаномалии, как правило, простираются на огромные расстояния. Например, Северо-Мексиканский бассейн термальных вод протянулся на 1,5 тыс. км, от северо-восточной части Мексики до Флориды. Одна из скважин здесь с глубины 5859 м дает пароводяную смесь с температурой 273 °С, причем этот флюид выходит при высоком давлении.)
Второй тип геотермальных месторождений образуется при преобладающем кондуктивном прогреве подземных вод, сосредоточенных в глубоких платформенных впадинах и предгорных прогибах. Они располагаются в невулканических районах и характеризуются нормальным геотермическим градиентом – 30-33 °С/км.
Бурением на нефть и газ, а частично и на воду обнаружены сотни подземных артезианских бассейнов термальных вод, занимающих площади в несколько миллионов квадратных километров. Как правило, артезианские бассейны, расположенные в равнинных областях и предгорных прогибах, содержат воду с температурой 100-150° С на глубине 3-4 км.
Можно без преувеличения сказать, что любой отмеченный на карте предгорный прогиб, который был сформирован в эпоху альпийского горообразования, содержит бассейн термальных вод. Таковы артезианские бассейны предгорных прогибов Пиренеев, Альп, Карпат, Крыма, Кавказа, Копет-Дага, Тянь-Шаня, Памира, Гималаев. Термальные воды этих бассейнов демонстрируют уникальное многообразие химических типов от пресных (питьевых) до рассольных, употребляющихся как минеральное сырье для извлечения ценных элементов. Больше половины всех известных минеральных (лечебных) вод выходят в виде источников или выводятся скважинами в пределах альпийских предгорных и межгорных прогибов. Опыт показывает, что термальные воды подобных малых бассейнов являются наиболее перспективными для комплексного использования в практических целях.
Подсчеты запасов термальных вод основываются на имеющихся данных об объемах гравитационных вод, заключенных в пластах, объемах самих водоносных горизонтов и коллекторских свойствах слагающих их горных пород. Запасы термальных вод представляют собой общее количество выявленных термальных вод, находящихся в порах и трещинах водоносных горизонтов, имеющих температуру 40-200° С, минерализацию до 35 г/л и глубину залегания до 3,5 тыс. м от дневной поверхности.
С развитием глубокого бурения на 10-15 км открываются многообещающие перспективы вскрытия высокотемпературных источников тепла. На таких глубинах в некоторых районах страны (исключая вулканические) температура вод может достигнуть 350° С и выше.
Районы выхода на поверхность кристаллического фундамента (Балтийский, Украинский, Анабарский щиты) и приподнятые горные сооружения (Урал, Кавказ, Карпаты и т. д.) совершенно не имеют запасов термальных вод. На участках погружения фундамента, т. е. при увеличении толщины осадочного чехла, в недрах наблюдается некоторое «потепление» до 35-40 °С на платформах и до 100-120 °С в глубоких предгорных впадинах.
К числу районов, имеющих максимально «теплые» земные недра, несомненно, относится Курило-Камчатская вулканическая зона. Здесь нагретость пород и содержащихся в них вод зависит не только от глубины их залегания, но в большей степени от близости к вулканическим центрам и разломам в земной коре.
Таким образом, температура пород, а следовательно, и вод находится в зависимости от глубины залегания и от района, который характеризуется большей или меньшей геотермической активностью.
Физико-химические свойства подземных вод
Физические свойства подземных вод
Как все жидкости, вода обладает особыми свойствами:
- вода мало изменяет свой объем при изменении давления и температуры, и в этом отношении она сходна с твердым телом и отличается от газа, который весьма сильно изменяет свой объем;
- вода обладает текучестью, т. е. не имеет собственной формы и принимает форму сосуда, в котором находится, и в этом отношении она отлична от твердого тела и сходна с газом.
Многие физические свойства воды являются аномальными и не обнаружены у других веществ. При плавлении вода не расширяется, как почти все остальные вещества, а сжимается. Плотность воды растет с повышением температуры от 0 до 4 ◦C и лишь при более высоких температурах начинает уменьшаться. По сравнению с другими веществами вода отличается необычно высокими удельной теплоемкостью, удельной теплотой плавления и кипения.
Определяющее влияние на физические свойства подземных вод оказывают растворенные в них соли и газы, а также воздействие высоких давлений и температур в пластовых условиях.
Температура и давление подземных вод зависят от глубины залегания. С увеличением глубины залегания возрастает как температура, так и давление. При температуре 374 ◦C (критическая температура) исчезают различия физических свойств жидкости и пара. Вода при температуре выше 374 ◦C находится в надкритическом состоянии. Критическая температура минерализованных водных растворов еще выше и может достигать 400–425 ◦C.
Измерение давления высотой столба воды очень удобно и часто применяется на практике. Давление в 1 кгс/см2 (техническая атмосфера) соответствует столбу пресной воды высотой 10 м. Таким образом, гидростатическое давление подземных вод увеличивается на 1 ат на каждые 10 м глубины. Между единицами измерения давления в разных системах существуют следующие соотношения:
1 ат = 1 кгс/см2 = 10 м вод. ст. = 0,981 бар = 0,0981 МПа = 0,981 · 105 Па.
Гидростатическое давление определяется по формуле:
P = ρgH,
где P — гидростатическое давление, Па; ρ — плотность воды, кг/м3; g — ускорение свободного падения, м/с2; H — высота столба воды, м.
Давление в недрах подразделяется на горное и пластовое. Горное или геостатическое давление обусловлено силой тяжести перекрывающей толщи горных пород. Величина горного давления Pг определяется по формуле, аналогичной формуле (ηгеот = Qфак.год./ Qмак. год.), и имеет следующий вид:

Если давление измерять в мегапаскалях (МПа), то c = 102 000, если в кгс/см2, то c = 10000.
Пластовое давление (Pпл) — это давление жидкости, насыщающей горные породы, и по своему происхождению оно близко к гидростатическому давлению:

Для глубоких пластов платформенных бассейнов h равна примерно глубине залегания пласта от поверхности.
При температуре 4 ◦C вода имеет максимальную плотность 1000 кг/м3. При температуре 100 ◦C ее плотность — 958,4 кг/м3, при 300 ◦C — 712,5 кг/м3. За счет пониженной плотности в недрах происходит конвективное восходящее движение нагретых подземных вод.
Плотность подземных вод зависит также от химического состава и концентрации растворенных солей. Если пресные подземные воды имеют плотность, близкую к 1000кг/м3, то плотность концентрированных рассолов достигает 1200 кг/м3 и более.
Сжимаемость жидкости при изменении внешнего давления характеризуется коэффициентом сжимаемости (упругости). Он равен отношению изменения объема жидкости при изменении давления на единицу к первоначальному ее объему. Принято считать, что вода практически несжимаема. Коэффициент сжимаемости для чистой воды равен 5 · 10−5 1/ат. Однако упругие свойства воды играют важнейшую роль в подземной гидродинамике, за счет упругих сил создается напор подземных вод.
Единица измерения коэффициента сжимаемости в международной системе (СИ) — 1/Па = м2/Н.
Температурное расширение жидкостей характеризуется коэффициентом температурного расширения. Он равен отношению изменения объема жидкости при изменении температуры на 1 ◦C к первоначальному объему. Единица измерения коэффициента температурного расширения 1/◦C.
Температура и давление действуют на плотность воды в противоположном направлении.
Вязкостью называется свойство жидкости сопротивляться сдвигающим усилиям. Вязкость проявляется только при движении жидкости как внутреннее трение или сопротивление скольжению жидких слоев друг относительно друга под действием внешних сил. Вязкость характеризуется коэффициентом абсолютной вязкости. Величину, обратную коэффициенту абсолютной вязкости, называют текучестью. В международной системе абсолютная вязкость измеряется в Па · с. Используется также кинематическая вязкость γ, равная частному от деления абсолютной вязкости μ на плотность ρ (γ = μ/ρ). В системе СИ кинематическая вязкость измеряется в м2/с.
Вязкость природных вод увеличивается с ростом минерализации, но основное влияние оказывает температура. Повышение температуры приводит к значительному уменьшению вязкости подземных вод, что значительно облегчает их фильтрацию через мельчайшие поры.
Температура и давление определяют, в каком состоянии (твердом, жидком или газообразном) находится вода в недрах. В большей части земной коры вода находится в жидком состоянии. Кипение подземных вод в глубоких горизонтах с температурой выше 100 ◦C не происходит, так как с увеличением глубины возрастает давление и как следствие растет температура кипения воды. К примеру, под давлением 10 атм вода закипает при температуре 179 ◦C. Такое давление подземных вод наблюдается на глубине 100 м, где температура значительно ниже точки кипения.
Химический состав подземных вод
Вода обладает высокой растворяющей способностью. Подземные воды на путях своего движения соприкасаются с разнообразными горными породами и при взаимодействии с ними обогащаются многими химическими соединениями. Под химическим составом воды обычно понимают состав растворенных в воде веществ. В подземных водах найдено более 60 химических элементов в виде ионов, недиссоциированных молекул различных солей, коллоидов минерального и органического происхождения, газов.
Главными в природных водах являются шесть ионов, к которым относятся три аниона — хлор Cl−, сульфат SO2− и гидрокарбонат HCO− 3 , и три катиона — натрий Na+, кальций Ca2+ и магний Mg2+. Сочетание преобладающих в растворе ионов характеризует химический состав подземных вод (гидрокарбонатно-кальциевый, хлоридно-натриевый и т. д.).
Суммарное содержание в воде растворенных ионов, солей и коллоидов называется минерализацией воды. Она обычно выражается в граммах на один литр раствора (г/л). Минерализация природных вод изменяется в очень широких пределах. Имеется несколько классификаций природных вод по степени минерализации. По классификации В. И. Вернадского различают пресные воды (минерализация до 1 г/л), очень слабо соленые (1–10 г/л), слабосоленые (10–35 г/л), соленые (35–50 г/л), рассолы (более 50 г/л). Позднее другие исследователи (И.К. Зайцев, М. Г. Валяшко, Н.И. Толстихин и др.) предложили называть рассолами природные растворы с минерализацией 35 г/л, обосновывая это верхней границей солености океанической воды. Известны рассолы с содержанием солей до 700 г/л.
При разработке технологических систем с использованием термальных вод более удобным является следующая классификация:
- термальные воды с низкой минерализацией (до 10 г/л), которые могут использоваться без предварительной водоподготовки;
- термальные воды со средней минерализацией (10–35 г/л), требующие предварительной очистки, они могут использоваться только в двухконтурных системах;
- термальные воды с высокой минерализацией (35–200 г/л и более), которые могут использоваться только в двухконтурных системах.
Существуют определенные зависимости между минерализацией подземных вод и их химическим составом. Пресные воды относятся преимущественно к гидрокарбонатному типу. Хлористые соли хорошо растворимы, поэтому содержание хлоридов в подземных водах обычно растет одновременно с их минерализацией. В рассолах средней концентрации (до 150 г/л) часто преобладают ионы хлора и натрия, а в крепких рассолах — ионы хлора, кальция и магния.
Из общих химических свойств воды особое значение имеют реакция среды и жесткость.
Реакция среды, т. е. щелочно-кислотные свойства воды, определяются концентрацией ионов водорода H+, которая зависит от содержания в воде двуокиси углерода и гидролизующихся солей тяжелых металлов. В чистой воде, обладающей нейтральной реакцией, ионы водорода возникают за счет диссоциации самих молекул воды, причем их концентрация одинакова с концентрацией гидроксильных ионов OH− и равна 10−7 г · ион/л. Поскольку эта величина очень малая, принято выражать концентрацию водородных ионов только показателем степени, взятым с обратным знаком, и обозначать через pH. Если среда имеет нейтральную реакцию, то ее pH = 7. В кислой среде pH меньше 7, в щелочной среде — больше 7.
Геотермальные воды подразделяются по значению pH: сильнокислые (pH ≤ 3,5); кислые (3,5 8,5).
Жесткость воды определяют по содержанию в воде ионов кальция и магния и выражают в мг-экв/л. Различают жесткость общую, карбонатную и некарбонатную. Общая жесткость воды определяется суммарным содержанием в ней кальция и магния. Карбонатная жесткость определяется наличием в воде бикарбонатов кальция и магния, некарбонатная жесткость — наличием солей сильных кислот кальция и магния.
По общей жесткости (Жо, мг-экв/л) воды подразделяются: очень мягкие (Жо ≤ 1,2); мягкие (1,2 11,7).
Воды с высокой карбонатной жесткостью дают накипные отложения в трубопроводах и теплообменных аппаратах энергетических установок.
Формирование химического состава подземных вод
На формирование химического состава подземных вод влияют следующие группы факторов:
- состав первоначальной воды в бассейне осадконакопления;
- степень промытости пород инфильтрационными водами;
- характер и интенсивность процессов взаимодействия вод с породами (выщелачивание пород, окислительно-восстановительные реакции, реакции катионного обмена и др.);
- интенсивность смешения и взаимного вытеснения вод разного происхождения и разного состава, а также ряд других процессов.
Формирование подземных вод происходит с момента их захоронения в толще осадков или поступления в горную породу. Происходит последовательное изменение минерализации и химического состава вод с глубиной. Гидрохимическая зональность подземных вод тесно связана с гидродинамической зональностью, под которой понимают изменение условий водообмена и степени подвижности подземных вод с глубиной.
Интенсивность водообмена в земной коре замедляется с глубиной. В гидрогеологии выделяют три гидродинамические зоны подземных вод: активного водообмена, затрудненной циркуляции и застойного режима.
С увеличением глубины и замедлением водообмена происходит возрастание минерализации подземных вод. Одновременно с ростом общей минерализации подземных вод по разрезу изменяется их химический состав. Пресные воды чаще всего имеют гидрокарбонатно-кальциевый состав; солоноватые по составу разнообразны, а соленые и рассолы, как правило, являются водами хлоридно-натриевого состава с увеличением в них содержания кальция и магния по мере роста минерализации. В верхней зоне активного водообмена (до глубины 500 м, а в некоторых артезианских бассейнах практически отсутствует) циркулируют инфильтрационные воды. С глубиной в пределах верхней зоны происходит постепенное нарастание минерализации, что отражает все более затрудненные условия водообмена и все меньшее влияние инфильтрации.
Формированию пресных и слабоминерализованных вод способствуют наличие раскрытых структур, где водоносные горизонты имеют выходы на поверхность в областях питания и разгрузки, большая мощность и высокая проницаемость водоносных пород, восходящие тектонические движения. Формированию соленых и рассольных вод благоприятствуют закрытые структуры, где связь водоносных горизонтов с поверхностью существенно затруднена, мала проницаемость водоносных пород, имеются соленосные отложения, нисходящие тектонические движения. При восходящих тектонических движениях усиливается инфильтрационный водообмен, водоносные слои освобождаются от минерализованных вод морского происхождения. При погружении слоев, напротив, происходит захоронение морских вод, выжимание воды из глин, что препятствует инфильтрационному водообмену.
В артезианских бассейнах наблюдается изменение состава подземных вод и повышение их минерализации от областей питания к областям разгрузки. Такая закономерность связана с тем, что по мере своего движения воды обогащаются солями. Наиболее резко возрастает минерализация подземных вод с глубиной в районах, где в разрезе присутствуют соленосные отложения. Концентрированные рассолы встречаются именно в таких районах.
Температура и давление оказывают существенное влияние на условия водообмена вод глубоких горизонтов и физико-химические процессы взаимодействия вод с горными породами. При высоких температурах снижается вязкость воды и увеличивается проницаемость пород, что облегчает водообмен. Условия водообмена зависят также от величины и природы давления, действующего на подземные воды, и градиентов давления.
С повышением температуры растворимость некоторых минералов резко увеличивается. Повышение температуры влияет также на сорбцию, диффузию и другие процессы, протекающие при взаимодействии воды с породой.
Формы выражения химического состава вод
Химический состав вод определяют методами аналитической химии в специальных лабораториях. Содержание ионов выражают в массовой, эквивалентной и процент-эквивалентной формах.
Наиболее часто используется массовая форма, где содержание каждого иона выражается в миллиграммах (иногда в граммах) в 100 граммах или 1 литре раствора.
Для определения эквивалентной формы содержания данного иона необходимо его количество, выраженное в миллиграммах или граммах, разделить на эквивалент. Эквивалентом иона называют частное от деления ионной массы на валентность иона.
В эквивалентной форме сумма анионов всегда равна сумме катионов.
Процент-эквивалентная форма получается из эквивалентной формы. Она показывает относительную долю иона в общей сумме всех ионов. Общая сумма всех ионов, взятых в эквивалентной форме, приравнивается 100 %. Содержание каждого иона выражают в процентах от суммы всех ионов.
Для наглядного изображения состава вод также используют формулу М. Г. Курлова, представляющая собой дробь, где в числителе указано содержание анионов, а в знаменателе — содержание катионов в процент-эквивалентной форме, причем их сумма принимается за 200 %. Ионы записывают в убывающем порядке. Перед чертой отмечают главные компоненты газового состава и минерализацию в граммах на литр. После черты пишут температуру воды. Приведем пример:

Из приведенной формулы следует, что главным газовым компонентом является метан, минерализация воды равна 56 г/л, температура воды 65 ◦C, среди анионов 78% экв. хлор-иона и 22% экв. сульфат-иона, а среди катионов 48, 38 и 14% экв. натрия, кальция и магния соответственно.
По этой формуле легко классифицировать и систематизировать анализы химического состава природных вод.
Классификация вод по химическому составу
Существуют несколько десятков классификаций подземных вод по ионному составу, но распространение получили немногие. В большинстве классификаций применяется процент-эквивалентная форма выражения состава вод. Во всех классификациях авторы считают, что таксономическое значение анионов выше, чем катионов. В результате воды разделены на три основных класса: гидрокарбонатные, сульфатные и хлоридные.
В классификации Н. И. Толстихина внутри классов выделены подклассы по преобладающему катиону — кальциевый, магниевый и натриевый.
По О. А. Алекину указанные классы также разделены по преобладающим катионам на три группы: кальциевую, магниевую и натриевую. В пределах групп по соотношению ионов устанавливаются четыре типа вод:
- воды первого типа характеризуются соотношением HCO−3 > Ca2+ + Mg2+, они обычно связаны с изверженными породами;
- воды второго типа определяются соотношением HCO−3 2+ + Mg2+−3 + SO2−4 и связаны с осадочными породами и продуктами их выветривания (поверхностные и грунтовые воды);
- для вод третьего типа характерно соотношение Cl− > Na+ или HCO−3 + SO2−42+ + Mg2+, к этому типу относятся воды морей и сильно минерализованные подземные воды;
- в водах четвертого типа HCO−3 = 0, т. е. эти воды кислые и поэтому находятся только в сульфатном и хлоридном классах.
В своей классификации В. А. Сулин разделил воды на 4 типа по характерным соотношениям главных ионов: сульфатно-натриевый, гидрокарбонатно-натриевый, хлор-магниевый и хлор-кальциевый. Далее типы вод разделены на группы и подгруппы по преобладающему аниону и катиону.
Классификация термальных вод по газовому составу
Среди газов, сопутствующих подземным водам, наиболее широко распространены азот N2, углекислота CO2 , сероводород H2S, метан CH4, тяжелые углеводороды (этан C2H6, пропан C3H8, бутан C4H10 и др.). В малых количествах встречаются аргон Ar, гелий He и некоторые другие газы.
Растворимость газов в воде зависит от давления, температуры, химического состава воды и газа. Растворимость газов растет с повышением давления и уменьшается с повышением температуры. Растворимость газов в подземных водах увеличивается с глубиной, так как рост давления дает больший эффект, чем рост температуры.
Подземные воды, залегающие на больших глубинах, нередко содержат в растворенном состоянии значительное количество газов, достигающее 10 м3 в 1 м3 воды. По прогнозным оценкам общее количество углеводородных и других газов, растворенных в подземных водах, на два порядка больше, чем в газовых и нефтегазовых залежах. Газовый и ионный составы подземных вод тесно связаны друг с другом. При увеличении концентрации растворенных в воде солей растворимость газов падает. В свою очередь, наличие в воде растворенных газов влияет на переход в раствор некоторых солей, а дегазация воды может повлечь частичное выпадение солей в осадок.
Необходимо отметить, что в подземных водах повсеместно содержатся и органические вещества. Общее количество органического углерода в подземных водах составляет десятки и сотни миллиграммов в 1 л. В них установлено наличие углеводородов, органических кислот, фенолов и других соединений. Органические вещества поступают в подземные воды в результате биохимических процессов, выщелачивания из горных пород и взаимодействия с нефтяными залежами.
В зависимости от газового состава, а также геологических, геохимических и температурных условий формирования выделяются пять основных генетических типов термальных подземных вод: сероводородно-углекислые (фумарольные), углекислые, азотно-углекислые, азотные (щелочные) и метановые.
Сероводородно-углекислые геотермальные воды формируются в зоне непосредственного воздействия очагов современной вулканической деятельности и распространены на Камчатке и Курильских островах. Они подразделяются на термы глубинного происхождения, насыщенные высокотемпературными газами, и поверхностного происхождения, залегающие в верхних слоях вулканогенных пород. Минерализация сероводородно-углекислых терм обычно невелика (3–5 г/л), но иногда достигает 20 г/л и более. Преобладающими среди анионов являются хлориды и сульфаты. Температура вод колеблется от 40 до 100 ◦C.
Углекислые геотермальные воды генетически связаны с толщами осадочных отложений, прорванных молодыми магматическими породами. Углекислота, насыщающая подземные воды в сфере магматических очагов, образуется при воздействии высоких температур на окружающие породы. Химический состав сложный и разнообразный. Содержание кремниевой кислоты доходит до 200 мг/л, а общая минерализация от 2 до 40 г/л. Углекислые воды распространены в восточной Камчатке, на Памире и в районе Кавказских минеральных вод (Пятигорск, Железноводск, Ессентуки).
Азотно-углекислые геотермальные воды (парогидротермы) — сильно перегретые воды, температура которых на сравнительно небольшой глубине достигает 200–300 ◦C. На поверхности воды появляются в виде пароводяных струй (гейзеры) или кипящих источников. При вскрытии таких вод скважинами также образуются пароводяные фонтаны. Формирование азотно-углекислых терм происходит в восстановительных высокотемпературных условиях в непосредственной близости от активно действующих вулканов. Приурочены такие воды к вулканическим или вулканогенным осадочным породам. Встречаются на Камчатке (Долина Гейзеров, Паужетские источники), в Новой Зеландии, Италии, Исландии. Азотно-углекислые термы характеризуются обычно невысокой минерализацией (2–5 г/л) и хлоридно-натриевым составом. Отличительной чертой таких вод является высокое содержание кремниевой кислоты (300–600 мг/л).
Азотные (щелочные) геотермальные воды бывают как атмосферного и глубинного, так и морского происхождения. Они широко распространены в горно-складчатых и платформенных областях. Вода атмосферного происхождения характеризуется низкой минерализацией (менее 1,5 г/л), гидрокарбонатно-натриевым и сульфатно-натриевым составом и высоким содержанием кремниевой кислоты (до 200 мг/л). Формирование химического состава этих вод происходит в результате выщелачивания пород инфильтрационными водами. Вода морского происхождения отличается высокой минерализацией (до 40 г/л), хлоридно-натриевым составом и наличием характерных микрокомпонентов — брома и йода.
Метановые геотермальные воды широко распространены в нефтегазоносных артезианских бассейнах Русской и Сибирской платформ, Западно-Сибирской низменности, Северного Кавказа и других районов. Эти воды приурочены к осадочным отложениям глубинных частей артезианских бассейнов. Минерализация вод составляет от нескольких граммов до 400–500 г/л. Воды малой минерализации по составу являются гидрокарбонатно-натриевыми, высокоминерализованные воды и рассолы имеют хлоридно-натриевый состав.
Газонасыщенность (Г, мг/л) термальных вод характеризуется как слабая (Г ≤ 100), средняя (100 1000).
Ресурсы термальных вод по перспективным районам России
По характеру распространения и условиям залегания термальных вод выделяются три типа водонапорных систем: пластовые в платформенных областях, пластовые в краевых прогибах и межгорных впадинах и трещинно-жильные.
Системы пластового типа формируются в платформенных областях, межгорных впадинах и краевых прогибах с относительно спокойным тепловым полем и постепенным нарастанием температуры и минерализации воды с глубиной.
Водоносные системы трещинно-жильного типа приурочены к складчатым областям, и в отличие от пластовых систем термальные воды циркулируют по сложной системе тектонических трещин.
Основные ресурсы теплоэнергетических вод сосредоточены в трех крупных регионах России — Западно-Сибирском, Предкавказском, в области развития современного вулканизма (Камчатка и Курильские острова).
Предкавказский артезианский бассейн
В гидрогеологическом отношении территория Предкавказья представляет собой сложно построенную пластовую водонапорную систему, включающую ряд взаимосвязанных артезианских бассейнов: Азово-Кубанский, ТерскоКумский, Терско-Сунженский и Восточно-Дагестанский. В административном отношении на данной территории представлены Краснодарский и Ставропольский края, Адыгейская, Дагестанская, Чеченская, Ингушская, Кабардино-Балкарская, Северо-Осетинская и Карачаево-Черкесская республики.
В результате проведения гидрогеолого-геотермических исследований ВСЕГИНГЕО, Институтом проблем геотермии ДНЦ РАН, СевероКавказским территориальным геологическим управлением и другими организациями, данный регион наиболее детально изучен по сравнению с другими регионами.
На большей части территории бассейна выделяются три гидрогеотермических этажа, изолированных друг от друга мощными водонепроницаемыми толщами сарматских и майкопских глин: плиоценовый, миоценовый и мезозойский.
В плиоценовом этаже наиболее водообильными и подробно изученными являются водоносные горизонты бакинского и апшеронского ярусов. Температура вод в зависимости от глубины залегания (300–700 м) водоносных горизонтов колеблется от 25 до 60 ◦C, минерализация на подавляющей территории варьирует в пределах 0,5–1,5 г/л. Скважины, вскрывающие водоносные горизонты, дают самоизливающиеся воды с высотой пьезометрического уровня от 10 до 35 м и более над поверхностью земли. Воды плиоценового гидрогеотермического этажа формируются за счет инфильтрации атмосферных осадков, поверхностных вод и конденсации атмосферной влаги в областях питания артезианского бассейна. Прогнозные эксплуатационные ресурсы подземных вод этой части разреза бассейна составляют 16,7 млн м3/сут, из которых более 1,5 млн м3/сут являются водами со средней температурой 40 ◦C .
Средний, миоценовый гидрогеотермический этаж, перекрытый сарматской глинистой толщей, представлен слабосцементированными высокопористыми водоносными отложениями караганских и чокракских горизонтов. Суммарная мощность этажа уменьшается от 2300–2400 в предгорной полосе до 600–1000 м в северной части прогиба. Глубина залегания кровли в этом же направлении растет от 600 в предгорьях до 3500–4000 м в осевой части Терско-Каспийского прогиба. Коллекторы суммарной мощностью 200–700 м содержат мощную водонапорную систему термальных вод с минерализацией от 3–5 до 10–35 г/л, температурой от 60–70 до 120–130 ◦C и дебитами скважин от 500 до 5000 м3/сут при избыточных давлениях от 0,3 до 1,5 МПа. Суммарные потенциальные эксплуатационные ресурсы миоценового этажа составляют 1 млн м3/сут.
В формировании ресурсов миоценового этажа принимают участие инфильтрационные поверхностные воды и воды мезозойских отложений при их миграции вдоль тектонических нарушений.
Мезозойский гидрогеотермический этаж, самый мощный и широко распространенный, сложен мощной толщей песчано-глинистых и карбонатных пород мелового, юрского и триасового периодов. К нему приурочены высокоминерализованные термы хлоридно-натриевого и кальциевого состава с минерализацией 60–210 г/л и пластовыми температурами 130–220 ◦C и выше. Газовый фактор в этих водах доходит до 5 м3/м3 и более. Характерной чертой пластовых вод мезозойского этажа является высокое содержания лития, рубидия, цезия, йода, брома, бора, калия, магния, стронция, что делает их промышленным гидроминеральным сырьем.
Мощность мезозойского гидрогеотермического этажа колеблется от 1000–1200 м в Прикумской области до 4000–5000 м и более в Терско-Сулакском прогибе при максимальной глубине погружения до 10–12 км. Потенциальные ресурсы геотермальных вод и рассолов мезозойского комплекса составляют 2,6 млн м3/сут.
Генезис вод мезозойского этажа преимущественно седиментационно-элизионный со значительной долей восходящих глубинных флюидов, которые мигрируют субвертикально из подкоровых горизонтов вдоль глубинных разломов в кристаллическом фундаменте.
В формировании теплового режима бассейна основная роль принадлежит тепловому потоку, идущему с больших глубин, литологическому составу пород, геолого-структурным особенностям и движению подземных вод. Преобладающее влияние на геотермический режим бассейна имеет глубинный тепловой поток. Большое значение в распределении тепла, идущего с глубин, имеет теплопроводность горных пород. Из пород, слагающих геологический разрез бассейна, самым низким коэффициентом теплопроводности характеризуются мощные толщи майкопских глин, способствующие сохранению тепла. Майкопские и сарматские глины выполняют роль теплоизолирующих покрышек. При погружении водоносных комплексов и увеличении мощности теплоизолирующей покрышки абсолютные величины температур возрастают при постоянном сокращении темпа их приращения. В то же время различие в теплопроводности пород с глубиной несколько сглаживается, и как следствие этого роль литологического фактора в распределении температур в глубоких горизонтах должна уменьшаться, а роль глубинного теплового потока увеличиваться, что вытекает из зависимости между величиной теплового потока, коэффициентом теплопроводности и геотермическим градиентом.
Определенное влияние на геотермическую обстановку оказывают геолого-структурные факторы. В тектонически активных поясах установлена резкая дифференциация теплового потока. Низкие его значения наблюдаются в краевых прогибах и в межгорных и неотектонических впадинах, высокие — в антиклинальных сводовых поднятиях. Поэтому глубина геоизотермической поверхности обычно уменьшается в сводовых частях антиклиналей и увеличивается на синклинальных структурах.
На рисунке 1 приведена схематическая карта глубин залегания геоизотермы 100 ◦C.

Зона наименьших глубин залегания геоизотермической поверхности 100 ◦C (1500–1600 м) занимает нижнюю часть Ставропольского поднятия, включая участки на его восточном и западном склонах. К северу и югу от этой зоны наблюдается увеличение глубин геоизотермической поверхности.
Связь глубинных температур и подземного рельефа имеется и в Терско-Сунженской области, где в передовых хребтах температуры на тех или иных гипсометрических горизонтах выше, чем в соседних прогибах. Наиболее глубокие прогибы находятся на юге бассейна, водоносные комплексы донеогенных отложений поднимаются к северу и в этом же направлении происходит движение потока вод. Движение подземных вод приводит к охлаждению областей питания и прогреванию областей разгрузки.
Предкавказье является наиболее перспективным регионом России для масштабного освоения геотермальной энергии. Высокие температуры недр удачно сочетаются с мощными водоносными комплексами, где имеются огромные запасы низко-, средне- и высокопотенциальных термальных вод.
Низкопотенциальные воды перспективны для отопления, горячего водоснабжения и использования на различные технологические нужды. В этих условиях перед технической термодинамикой стоит сложная задача по эффективной утилизации тепла таких вод.
Освоение среднепотенциальных вод связано с разработкой передовых технологий двухконтурных систем использования тепла и изучением гидродинамических и тепловых процессов, протекающих в различных элементах систем при эксплуатации.
Наиболее перспективными для освоения являются высокопотенциальные рассольные воды с разработкой технологий комплексного извлечения тепловой и потенциальной энергий, сопутствующих газов и минеральных солей, и оптимизацией различных термодинамических циклов, реализуемых в установках по утилизации.
Западно-Сибирский артезианский бассейн
Западно-Сибирский платформенный артезианский мегабассейн, где административно расположены полностью или частично Курганская, Тюменская, Омская, Новосибирская и Кемеровская области, Красноярский и Алтайский края, Ямало-Ненецский национальный округ, в геологоструктурном плане представляет собой обширную впадину площадью 3,5 млн км2, сложенную мощными (до 10 км) осадочными отложениями от юрского до четвертичного возраста. Термальные воды Западно-Сибирского бассейна изучаются и постепенно начинают использоваться главным образом попутно с освоением нефтяных и газовых месторождений.
Регионально распространенной толщей глинистых пород туронскоолигоценового возраста мощностью до 800 м разрез осадочного чехла бассейна подразделяется на два гидрогеологических этажа. Верхний этаж, сложенный олигоцен-четвертичными песчаными породами, на большей части бассейна находится в зоне активного водообмена, содержат пресные воды инфильтрационного генезиса. Нижний гидрогеологический этаж, включающий породы от фундамента до меловых включительно, относится к зоне затрудненного водообмена. Он по всей площади, кроме периферийного пояса шириной 20–200 км, надежно изолирован от влияния поверхностных факторов, имеет мощность 2–6 км и содержит воды с минерализацией обычно 10–30 г/л. В составе этажа выделяют пять гидрогеологических комплексов: палеозой-триасовый, нижнесреднеюрский, берриасваланжинский, неокомский и аптсеноманский.
Основные запасы термальных вод заключены в апт-сеноманском и неокомском водоносных комплексах, которые отличаются высокой водообильностью и самоизливом из скважин.
Неокомский водоносный комплекс объединяет песчано-глинистые отложения мощностью до 800 м. Мощность проницаемых песчаных пластов изменяется от 5 до 40 м, пористость 10–22 %, проницаемость до 1 · 10−12 м2. Дебиты скважин, вскрывших водоносные пласты, изменяются от 100 до 800 м3/сут и более. Избыточные напоры достигают 140–160 м.
Апт-сеноманский водоносный комплекс представлен песчано-глинистыми алевритовыми отложениями мощностью до 1000 м. Пористость песчаных пород в сеноманской части разреза нередко превышает 25–30%, проницаемость достигает 2·10−12 м2. Высокие фильтрационные свойства и большая мощность водоносных пород обеспечивают большие дебиты, достигающие на самоизливе до 2–4 тыс. м3/сут.
Максимальная зарегистрированная температура пород составляет 160 ◦C на глубине 4940 м на Надымской площади. Температура подземных вод в низах осадочного чехла периферии бассейна 10–20 ◦C. В центральной зоне температура кровли доюрских пород составляет в Салымском районе 120–140 ◦C, на Сургутском своде 90–115 ◦C, на Нижневартовском своде 105–125 ◦C. Высокой температурой 135–140 ◦C характеризуется Красноленинский свод.
Температура подземных вод в кровле неокомского водоносного комплекса изменяется от 10–15 ◦C по периферии бассейна до 80–90◦C на Красноленинском своде. На западе температура в кровле комплекса составляет 40–70 ◦C, причем наиболее высокие значения отмечены в Шаимском и южной части Березовского района (50–75 ◦C). Салымский и примыкающие к нему районы характеризуются температурами более 80 ◦C, на Сургутском своде 55–60 ◦C, на Нижневартовском своде 65–73 ◦C.
В кровле апт-сеноманского комплекса температура подземных вод изменяется от 0–5 до 35–45 ◦C. По периферии бассейна развиты наиболее холодные воды, их температура не превышает 20 ◦C. В центральной зоне максимальная температура (более 40 ◦C) установлена на Красноленинском своде и в Салымском районе.
В региональном плане в Западно-Сибирском мегабассейне происходит нарастание температуры подземных вод от периферии к центральным районам, вызванное погружением водоносных комплексов.
Подземные воды Западно-Сибирского мегабассейна характеризуются малой минерализацией (в среднем 20 г/л), значительным содержанием водорастворенных органических веществ (ВРОВ) и газов углеводородного состава. Основная региональная гидрохимическая зональность заключается в последовательной смене вод инфильтрационного генезиса с минерализацией 1–5 г/л, развитых в окраинных частях мегабассейна, хлоридно-кальциевыми водами с минерализацией до 15–20 г/л по мере продвижения к центральным областям. Газонасыщенность подземных вод возрастает от окраин мегабассейна к центральной части, достигая в наиболее погруженных частях до 5 м3 газа (в основном метана) в 1 м3 воды.
Воды мегабассейна седиментогенные, их формирование связано с накоплением осадков в опресненных внутренних морских водоема и континентальных условиях.
Запасы тепла по неокомскому и апт-альбскому комплексам при насосном способе эксплуатации скважин эквивалентны 27 млн т у. т./год.
Камчатская и Курильская системы современного вулканизма
Среди трещинных водонапорных систем к наиболее перспективным для освоения термальных вод и парогидротерм относятся Камчатская и Курильская системы современного вулканизма (таблица 1).

На Камчатке все перспективные районы распространения термальных вод и парогидротерм приурочены к горно-складчатым структурам или к вулканическим зонам. Минерализация термальных вод невысокая и редко превышает 3 г/л, а минерализация парогидротерм достигает 5 г/л. Все месторождения термальных вод и парогидротерм относятся к трещинно-жильному типу. Суммарные запасы высокопотенциального теплоносителя с температурой выше 100 ◦C, представленные паром или пароводяной смесью, соответствуют прогнозной электрической мощности ГеоЭС до 1000 МВт, а прогнозные запасы термальных вод с температурой до 100◦C по крупным термопроявлениям составляют 814,6 тыс. м3/сут с запасами тепла 16 млн Гкал/год.
По данным Института вулканологии Дальневосточного отделения РАН уже выявленные геотермальные ресурсы позволяют полностью обеспечить Камчатку электроэнергией и теплом более чем на 100 лет.
Наряду с высокотемпературным Мутновским месторождением на юге Камчатки, известны значительные запасы геотермальных ресурсов на Кошелевском, Больше-Банном, а также на севере Камчатки — Киреунском месторождениях. Всего на этих месторождениях можно получить около 2000 МВт(э) электрической мощности, а запасы тепла геотермальных вод Камчатки оцениваются в 5000 МВт(т).
Чукотка также имеет значительные запасы геотермального тепла на границе с Камчатской областью. Уже открытые здесь запасы тепла Земли могут сегодня активно использоваться для энергообеспечения близлежащих городов и поселков.
В районе Курильских островов выявлены десятки выходов естественных термальных источников, а также пробурен ряд скважин на островах Кунашир, Итуруп и Парамушир. Прогнозные запасы геотермальной энергии для сооружения ГеоЭС соответствуют электрической мощности до 80 МВт, а запасы термальных вод с температурой до 100 ◦C по крупным и перспективным для освоения участкам составляют более 65 тыс. м3/сут с запасами заключенного в них тепла в 950 тыс. Гкал/год. Выявленные запасы геотермального тепла достаточны для тепло- и электроснабжения островов на 100–200 лет.
