Роторный вагоноопрокидыватель может быть передвижным или стационарным.
Передвижной роторный вагоноопрокидыватель (рисунок 1) выполнен в виде круговой роторной металлоконструкции, ободы которой устанавливаются на скатах 3, закрепленных на мосту 4. Мост устанавливается на ряд тележек, перемещающихся по рельсам 5. В одном положении (І-І) вагон заталкивается толкателем в ротор. В другом (ІІ-ІІ) ротор 1 поворачивает вагон, предварительно закрепленный, на 180° для разгрузки шихты в траншею или бункер 6. В отличие от передвижного ротора у стационарного опоры роликовых скатов закреплены прямо над бункерами.


Расчетная схема механизма кантования приведена на рисунки 2.
Общий момент сопротивления при кантовании ротора М = М1 + М2. Момент сопротивления М1 от веса люльки Gл и вагонов Gв:

Момент трения:

Статический момент на валу электродвигателя определяется передаточным отношением i от двигателя к зубчатке ротора и равно Мс= М/(iη). Дальнейший расчет механизма кантования проводится аналогично выбору и проверке двигателей для башенного вагоноопрокидывателя.
Одним из наиболее нагруженных узлов роторного вагоноопрокидывателя является его обод (или бандаж). На рисунки 3 приведена расчетная схема прочности обода.

Условно будем считать нагрузку G, приходящуюся от веса ротора, вагона с шихтой, симметричной относительно центра О и приложенной к ободу в точке В. В сечении В действует горизонтальная сила Nв, перерезывающая сила Q = G/2 и момент Мв. Здесь G — нагрузка на один обод опрокидывателя. Для любого текущего угла α ≤ φ1 между параметрами устанавливаются следующие связи:

В интервале углов φ1 ≤ α ≤ φ2 связи будут другими:

Наконец, для диапазона φ2 ≤ α ≤ π/2

Для стандартных величин φ1 = 20° и φ2 = 40° соотношение 2А(cos40° + + cos20°)=G и реакция A = 0,293G.
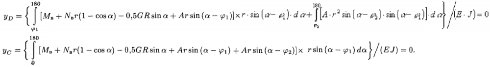
Неизвестные параметры Nв и Мв определим из условий, что в точках С и D прогибы ув = yD =0

Решением этих уравнений будет Nв = —0,151 G и Мв = 0,117 Gr. По этим данным вычисляются относительные перерезывающая Q=Q/b, нормальная N = N/b и моментная M=M/(Gr) нагрузка (таблица 1).
Максимальные напряжения в любом сечении обода

В таблице 1 приведено распределение напряжений по сечениям. Из результатов видно, что наибольшее напряжение будет под удаленным скатом (φ2 = 40°):

![]()
