Расчеты валков на прочность сводятся к определению напряжений изгиба и кручения, возникающих во время прокатки в бочке и шейках валка. Кроме того, под воздействием усилия прокатки валки прогибаются.
Напряжение изгиба в шейке валка равно
Напряжение кручения в шейке валка равно

Напряжение кручения в бочке валков нс рассчитывают, поскольку оно незначительно по сравнению с напряжением изгиба бочки, которое вычисляют по формуле

Результирующее па пряжение в шейках определяют из выражений:
для стальных валков

для чугунных валков
![]()
Результирующее напряжение для превышать допустимое [σ], МПа:

Прогиб валка происходит под воздействием изгибающих моментов и поперечных сил. Таким образом, суммарный прогиб валка при прокатке в среднем калибре равен f∑ = f1 + f2 , где f1 и f2 прогибы под воздействием изгибающих и поперечных сил. Прогибы f1 и f2 можно определить по формуле А. И. Целикова при условии, что ширина полосы равна нулю, а длина бочки валка равна расстоянию между опорами:

Для стальных валков можно принять E=215000 и G =82000 МПа, для легированного чугуна E = 150000 и G = 45000 МПа
Мощность привода тесно связана с температурой, удельным давлением и площадью контакта металла с валком.
Если определять по расчету или из опыта (например, по месдозам) допустимую величину обжатия в первом проходе, то обжатия в остальных проходах (на основании принципа равной мощности), согласно рекомендациям Б. П. Бахтинова и М. М. Штернова, будут равны

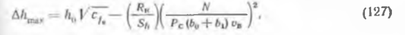
Допустимую величину обжатия п каждом проходе можно определить также по формуле Б. П. Бахтинова, которая для случая прокатки в калиброванных валках имеет вид

где Rк — катающий радиус; hc — высота заготовки; сf — коэффициент формы заготовки; N — мощность привода; uв — окружная скорость валков; Sh — опережение в калибрах; b0, b1 ширина профильной полосы соответственно на входе и выходе из валков.
