Тепловые насосы
Для утилизации низкопотенциальной энергии используются тепловые насосы (ТН). Известно, что тепловым насосом является всякая холодильная машина, предназначенная для передачи тепла от низкотемпературного источника к среде с более высокой температурой. При этом тепловой насос работает в диапазоне более высоких рабочих температур, чем холодильная машина.
Из всех нетрадиционных методов производства тепловой энергии наибольшее развитие получила выработка тепла при помощи ТН. В настоящее время в ряде развитых стран (США, Дании, Германии, Франции, Швеции, Швейцарии, Японии и др.) ТН заменяют традиционные аппараты передачи тепла, основанные на прямом сжигании органического топлива. Согласно прогнозам Мирового энергетического совета (МИРЭС) к 2020 г. 75 % теплоснабжения в развитых странах будет осуществляться с помощью ТН. В настоящее время в мире работает около 30 млн ТН различной мощности — от нескольких киловатт до сотен мегаватт.
Теплонасосные установки (ТНУ), осуществляют обратный термодинамический цикл на низкокипящем рабочем веществе, получают низкопотенциальную тепловую энергию либо из окружающей среды, либо из иных источников, и затрачивают некоторое количество механической или электрической энергии для передачи потребителю тепла при температуре, необходимой для теплоснабжения. Эффективность ТНУ тем выше, чем меньше разность между температурой, необходимой для теплоснабжения и температурой источника низкопотенциального тепла. При благоприятных условиях применение ТНУ позволяет расходовать в 1,2—2,3 раза меньше первичной энергии, чем при прямом сжигании топлива. Применение ТНУ — это и сбережение невозобновляемых энергоресурсов и защита окружающей среды, в том числе и за счет сокращения выбросов СО2 в атмосферу.
Наибольшее применение ТНУ получили для теплоснабжения, горячего водоснабжения жилых, административных и производственных зданий, а также для обеспечения тепловой энергией технологических процессов (сушки, дистилляции, тепловой обработки), тепло- и холодоснабжения сельскохозяйственных объектов (молочнотоварных ферм, фруктохранилищ, зернохранилищ и т.п.). Теплонасосные установки работают в диапазоне температур от 5 °С (атмосферный воздух) до 70 °С (высокотемпературные промышленные сбросы и геотермальные источники) и способны обеспечить нагрев среды в интервале температур от 27 °С (вода для плавательных бассейнов) до 110 °С.
Применение ТНУ позволяет перейти, в частности, к децентрализованным системам теплоснабжения (без протяженных дорогостоящих тепловых сетей), когда тепловая энергия генерируется вблизи ее потребителя. Внедрение таких экономичных и экологически чистых технологий теплоснабжения необходимо в первую очередь во вновь строящихся районах городов и населенных пунктах. При этом можно полностью исключить применение электрокотельных, которые потребляют в 3—4 раза больше электроэнергии чем ТНУ. Еще одно преимущество ТНУ — универсальность по уровню мощности, изменяющейся от долей до десятков тысяч киловатт. Применение ТНУ весьма перспективно в комбинированных системах в сочетании с другими технологиями использования возобновляемых источников энергии (солнечной, ветровой, биоэнергии), так как позволяет оптимизировать параметры сопрягаемых систем и достигать наиболее высоких экономических показателей. Указанные преимущества ТНУ позволят в будущем отказаться от прямого сжигания органического топлива для обеспечения теплоснабжения.
Для распространения ТНУ в России требуется государственное стимулирование, как производителя этой техники, так и ее пользователя.
В настоящее время Россия располагает необходимым научным, инженерным и промышленным потенциалом для освоения и производства современных тепловых насосов всех типов.
В качестве источника низкопотенциального тепла в ТНУ могут быть использованы:
- промышленные и очищенные бытовые сточные воды;
- вода различных технологических циклов;
- тепло грунтовых, артезианских и термальных вод;
- тепло наружного воздуха;
- воды поверхностных источников (рек, озер, морей) и систем водо- и теплоснабжения;
- тепло дымовых газов и любых сбросных тепловых потоков;
- низкопотенциальное тепло грунта.
Теплонасосная установка состоит из теплового насоса и системы, обеспечивающей подвод тепла от низкопотенциального источника, подачу нагретой в ТН среды потребителю и ее возврат к ТН. В ТНУ могут входить несколько ТН.

На рис. 2.1 представлена принципиальная схема парокомпрессионного теплового насоса. Режиму работы такого насоса на t, s-диаграмме (рис. 2.2) соответствует термодинамический цикл 6-1-11-21-2-3-6. Жидкий рабочий агент имеет параметры t0 и p0. Рабочий агент поступает в испаритель, где происходит его испарение (процесс 6-1) и перегрев (процесс 1-11) за счет съема тепла (Qинп) с низкопотенциального источника. Образующийся перегретый пар сжимается компрессором до давления pк, которому соответствует более высокая температура насыщения tк (процесс 11-21), и поступает в конденсатор, где отдает нагреваемой среде (воде системы теплоснабжения) теплоту (Qтп) перегрева и конденсации (процесс 21-3). После охлаждения в теплообменнике производится снижение давления конденсата от pк до p0 в дросселе с понижением его температуры до t0, т.е. до исходных параметров (процесс 3-6), и цикл повторяется.

Таким образом, в непрерывном круговом процессе тепло переносится с более низкого температурного уровня на более высокий с подводом энергии извне, затрачиваемой на повышение давления парообразного рабочего вещества (обратный термодинамический цикл).
Разнообразное исполнение тепловых насосов классифицируется по ряду признаков:
- принципу действия (парокомпрессионные, абсорбционные, термоэлектрические);
- виду потребляемой энергии (механической, электрической, тепловой);
- используемому источнику низкопотенциального тепла (воздух, вода, грунт, стоки);
- виду привода (электродвигатель, тепловой двигатель) и др.
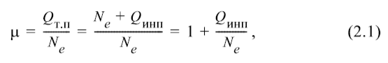
Основной характеристикой ТН является коэффициент преобразования μ — отношение отдаваемой теплоты к затраченной энергии. В первом приближении μ зависит только от разности температур конденсации и испарения (tк – t0) низкокипящего рабочего агента. Чем меньше эта разность, тем выше коэффициент μ:

где Qт.п — тепловая мощность передаваемая потребителю; Nе — мощность затрачиваемая на привод компрессора.
Из (2.1) следует, что μ больше единицы и будет тем выше, чем меньше значение энергии, потребляемой компрессором. Последнее зависит от свойств рабочего агента и принятого уровня температур его испарения и конденсации.
Идеальный рабочий агент должен характеризоваться химической стабильностью и инертностью по отношению к конструктивным материалам и смазочным маслам, невоспламеняемостью, нетоксичностью, приемлемой стоимостью и невысоким давлением конденсации, давлением кипения, близким к атмосферному, высокой критической температурой и низкой температурой замерзания. Поскольку рабочего агента, который отвечал бы всем перечисленным требованиям при использовании его в широком диапазоне температур испарения и конденсации, встречающихся при работе теплового насоса, нет, применяют рабочие агенты, удовлетворяющие наиболее важным требованиям. Например хладон R12 не токсичен, обладает наиболее высокой тепловой мощностью. Главным недостатком хладона R12 является высокое давление в фазе конденсации, вследствие чего максимальная температура теплоносителя, достигаемая в тепловых насосах, не превышает 60 °С. С этой точки зрения перспективным для применения оказывается хладон R142в. При его использовании температуру теплоносителя удается повысить до 90—100 °С. Основным недостатком хладона R142в является его горючесть. В ТН в качестве рабочих агентов помимо общеизвестных хладагентов R12, R22 и R142в используются новые безопасные для окружающей среды хладагенты R407C, R410A, R134A.
Для сопоставления эффективности ТН и традиционных генераторов теплоты, например, котельных, а также сравнения ТН разных принципов действия, например, парокомпрессионного с приводом компрессора от электродвигателя и абсорбционного, потребляющего тепловую энергию, применяют обобщенный критерий — коэффициент использования первичной энергии К. Он определяется как отношение полезного тепла, отдаваемого ТН потребителю к израсходованной энергии первичного источника. Удачное сочетание параметров низкопотенциального источника тепла и требуемых параметров теплоты у потребителя — важнейшее условие эффективного применения ТН. Сближение значений температур t0 и tк достигается, в частности, совершенствованием систем использования тепла. Например, для современной системы напольного отопления достаточна температура 30—40 °С, тогда как для традиционной системы отопления нужно иметь температуру 70—100 °С.
Сопоставление альтернативных вариантов теплоснабжения по степени использования первичной энергии показывает, что наименее эффективен прямой электрический обогрев, так как КПД тепловых и атомных электростанций не превышает 30—40 % а, кроме того, часть выработанной электроэнергии теряется в сетях. В результате Kэл = 0,27÷0,34. Теплоснабжение прямым сжиганием топлива в котельной приводит к потере около 20 % первичной энергии и соответственно Kкт = 0,75÷0,85. При рациональном применении ТН обеспечивается экономия первичной энергии, Kт.н >1. Для ТН с электроприводом коэффициент использования первичной энергии (Kт.н) равен произведению μ на Kэл. Вследствие низких значений последнего эффективность ТН уравнивается с эффективностью котельной при μ ≅ 2,5 и поэтому разность температур (tк – t0), как правило, не должна превышать 60—70 °С.
Парокомпрессионные тепловые насосы (ПТН) с приводом от теплового двигателя, например, газовой турбины или дизельного двигателя оказываются более экономичными, чем с электроприводом. Хотя КПД этих двигателей не превышает 35 %, при работе в составе ТН может быть утилизирована и направлена в общий поток нагреваемой ТН среды большая часть тепла, сбрасываемого с выхлопными газами, а также тепла, воспринимаемого смазкой и охлаждающей двигатель жидкостью. В результате коэффициент использования первичной энергии привода возрастает в 1,5 раза, а экономичность ТН обеспечивается при μ > 2.
В тепловых насосах абсорбционного типа (АТН) вместо компрессора с механическим приводом применяется система, которую называют «термокомпрессором». Ее преимуществом является возможность использования тепловой энергии. Это может быть тепло, полученное при прямом сжигании топлива, а также различные сбросные потоки тепла с достаточно высокой температурой в виде горячей воды, отработавшего пара и т.п. Эти машины имеют более низкий коэффициент преобразования (коэффициент трансформации) по сравнению с парокомпрессионными ТН. Однако использование топлива с КПД не ниже, чем КПД котельной, обеспечивает Kт.н = 1,2÷1,3.
Теплонасосные системы теплоснабжения с низкопотенциальными термальными водами
В России имеются огромные ресурсы низкопотенциальных термальных вод, непосредственное использование которых ограничено из-за низкой их температуры. Однако использование таких вод в качестве низкотемпературного источника тепла в технологических схемах ТНУ позволит повысить их тепловой потенциал до необходимого уровня. Такие ТНУ могут быть использованы для отопления зданий, горячего водоснабжения и других технологических нужд. При этом одновременно достигается определенная экономия топливных ресурсов.
Полное и экономически эффективное использование низкопотенциального геотермального тепла в системах теплоснабжения практически неосуществимо без применения ТНУ. Именно большая эффективность применения тепловых насосов при использовании низкопотенциального промышленного и геотермального тепла обусловила высокий уровень создания и применения теплонасосной техники за рубежом. Более 56 % общей мощности геотермальных тепловых систем в мире приходится на геотермальные тепловые насосы. Общая установленная мощность тепловых насосов составляет около 16 000 МВт при ежегодной выработке тепла более 86 600 ТДж. Если геотермальные тепловые насосы в 2000 г. использовались в 26 странах (в основном в Америке и Европе), то к 2005 г. — уже в 32 странах мира. В США 69 % общего прямого использования геотермальных ресурсов реализуется на основе применения тепловых насосов; в 2004 г. было установлено примерно 60 000 тепловых насосов.
Одной из причин, сдерживающих широкое внедрение теплонасосной техники в народное хозяйство, является отсутствие тепловых насосов с высокими температурами конденсации. При технологическом использовании именно температурный уровень выдаваемой горячей воды определяет принципиальную возможность применения теплонасосной техники.
Применение ТНУ приводит к экономии топлива, уменьшению загрязнения окружающей среды и уплотнению суточных графиков электрической нагрузки энергосистем. Экономика их определяется уровнем капитальных вложений и соотношением цен на электроэнергию и топливо. Последнее обусловлено тем, что ТНУ потребляют электроэнергию, а экономят топливо за счет замещения котельных. Поэтому экономическая эффективность ТНУ тем выше, чем дешевле электроэнергия и чем дороже топливо. Срок окупаемости ТНУ (3—4 года) ниже нормативного срока окупаемости, принятого для систем отопления.
Наиболее перспективным регионом для массового строительства теплонасосных систем теплоснабжения является Северо-Кавказский регион, где на небольших глубинах в осадочных отложениях артезианских бассейнов залегают неограниченнее запасы пресных и слабоминерализованных вод с температурой от 20 до 50 °С. Эти воды практически не используются для нужд теплоэнергетики. Основная причина состоит в том, что температура таких вод недостаточна для теплоснабжения и горячего водоснабжения. В то же время, по сравнению с средне- и высокопотенциальными термальными водами низкопотенциальные воды имеют ряд преимуществ: малые капитальные затраты для их добычи, низкая минерализация и соответственно отсутствие или минимум проблем, связанных с солеотложением и коррозией, и наличие в регионе огромного количества готовых к эксплуатации скважин. Только в Северном Дагестане в пределах Терско-Кумского артезианского бассейна количество самоизливающих скважин с низкопотенциальными водами превышает 3500. В этих условиях для использования низкопотенциальных вод наиболее перспективным является разработка и внедрение технологий теплонасосных систем теплоснабжения (ТСТ).
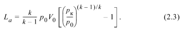
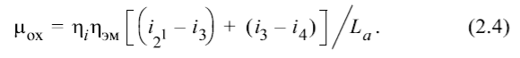
Коэффициент преобразования μ ТНУ является важной энергетической характеристикой определяющей не только технико-экономические показатели, но и границы конкурентоспособности ТНУ по отношению к другим источникам тепла. Коэффициент μ реального обратного цикла Ренкина, реализуемого в парокомпрессионных тепловых насосах, можно определить по формуле:
где ηi — внутренний относительный КПД компрессора, учитывающий необратимые потери; ηэм — электромеханический КПД компрессора; i21 , i3 — энтальпии рабочего агента на входе и выходе в конденсатор, кДж/кг; Lа — удельная работа компрессора при идеальном изоэнтропном процессе, которая определяется из следующего выражения

здесь k — показатель адиабаты; p0, pк — соответственно давления испарения и конденсации, кПа; V0 — удельный объем рабочего агента на входе в компрессор, м3/кг.
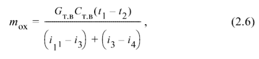
Использование низкопотенциальных термальных вод в качестве первичного источника тепла позволит поднять температуру конденсации tк до 100 °С при одновременном обеспечении экономической эффективности ТН (μ > 2,5). При высоких температурах конденсации возрастают необратимые потери от дросселирования, вызванные заменой детандера дроссельным клапаном. Для их снижения в ТНУ перед конденсатором целесообразно установить охладитель жидкого рабочего агента, как показано на рис. 2.3.

В охладителе температура рабочего хладагента снижается до более низкого значения за счет передачи тепла нагреваемой воде. Охлаждение жидкого рабочего агента увеличивает удельный съем тепла в испарителе на единицу расхода рабочего агента, благодаря чему несколько снижается удельный расход электроэнергии на единицу трансформируемого тепла.
Технологической схеме с охладителем, на t, s-диаграмме на рис. 2.2 соответствует термодинамический цикл 5-1-11-21-2-3-4-5. В процессе дросселирования энтальпия рабочего вещества не меняется, поэтому i4 = i5 и i3 = i6. Благодаря снижению температуры жидкого рабочего агента перед дросселем (процесс 3-4) от tк до tох удельная теплопроизводительность возрастает на величину (i3 – i4) по сравнению с установкой без регенеративного теплообменника-охладителя.
Коэффициент преобразования μ ТНУ с охладителем определяется по формуле

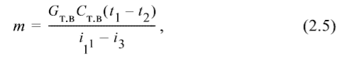
Массовый расход рабочего агента m, кг/с, в контуре ТНУ без охлаждения, при известном эксплуатационном дебите термальной скважины, можно определить из теплового баланса испарителя

где Gт.в — массовый расход термальной воды, кг/c; cт.в — теплоемкость термальной воды, кДж/ кг • °С; t1 — температура термальной воды на входе в испаритель, °С; t2 — температура термальной воды на выходе из испарителя °С; i11 — энтальпия рабочего агента на входе в компрессор, кДж /кг; i3 — энтальпия рабочего агента на выходе из конденсатора, кДж/кг.
Расход рабочего агента в контуре ТНУ с охладителем

где i4 — энтальпия рабочего агента на выходе из охладителя.
Мощность компрессора ТНУ:
без охладителя

где — i11 энтальпия рабочего агента на выходе из компрессора, кДж/кг;
с охладителем

Тепловая мощность конденсатора определяется по формуле

Тепловая мощность ТНУ при включении в схему охладителя

Включение в ТНУ охладителя наиболее эффективно при высоких температурах конденсации. В установке с рабочим агентом R142в при tк = 100 °С значение μох увеличивается в 1,57 раза. При этом диапазону температур испарения рабочего агента от 0 до 40 °С соответствуют температуры конденсации от 80 до 110 °С, при которых экономически еще эффективна эксплуатация ТНУ. Включение в технологическую схему охладителя позволит поднять соответствующие температуры конденсации от 100 до 130 °С. Для улучшения экономических показателей ТНУ необходимо в охладителе максимально снижать температуру рабочего агента.
Теплонасосные установки наиболее эффективны для низкотемпературных систем отопления, так как со снижением температуры конденсации увеличивается значение коэффициента преобразования. Подходящими для таких систем являются панельно-лучистые приборы, совмещенные с ограждающими конструкциями.
Для радиаторных систем отопления средняя температура теплоносителя, необходимая для компенсации тепловых потерь здания находится по формуле
![]()
где Qт.п — тепловые потери здания, кВт; Fпр — поверхность отопительных приборов, м2; kпр — коэффициент теплопередачи отопительного прибора, кВт/ (м2 • °С); tвн — температура внутри отапливаемого помещения, °С.
Расход воды в отопительной системе определяется по формуле
![]()
здесь c — удельная теплоемкость воды, кДж/(кг • °С); Δtот — разность температур в отопительной системе, °С. С учетом (2.11) и (2.12) можно записать следующие соотношения:
![]()
где tпр, tобр — температуры прямой и обратной воды в системе отопления, °С. Температура испарения рабочего агента вычисляется по формуле
![]()
где Δtи — конечная разность температур в испарителе, °С. Температура конденсации рабочего агента определяется из выражения

где Δtк — конечная разность температур в конденсаторе, °С.
Эффективность использования низкопотенциальной воды в ТНУ зависит от ее конечной температуры, которая должна быть как можно ниже. Этого можно достичь как в одной ТНУ, так и в схеме с последовательным использованием воды в двух и более ТНУ. Достижения низкой конечной температуры термальной воды в одной ТНУ приводит к еще более низкой температуре испарения рабочего агента в тепловом насосе, что снижает коэффициент преобразования и эффективность работы ТНУ. При необходимости получения достаточно высоких температур конденсации рабочего агента экономическая эффективность такой установки становится минимальной. Последовательное протекание термальной воды через испарители двух и более ТНУ позволяет осуществить процесс испарения рабочего агента на разных температурных уровнях, что приводит к увеличению суммарного коэффициента преобразования ТНУ и к экономии электроэнергии, затрачиваемой на привод. В зависимости от параметров первичного теплоносителя (дебита и температуры) и требований потребителей к конечной температуре в ТСТ могут быть включены до трех ТНУ.
Принципиальная технологическая схема ТСТ, состоящая из двух ТНУ приведена на рис. 2.4.

Термальная слабоминерализованная вода после снижения ее температуры в испарителях ТНУ направляется на блок химводоочистки и далее на холодное и горячее водоснабжение, а также на подпитку системы отопления. Первая ТНУ работает на отопление, так как в ней можно получить высокую температуру конденсации при экономически приемлемых условиях эксплуатации. Часть тепловой энергии отбираемой в охладителе при охлаждении конденсата направляется на горячее водоснабжение. Вторая ТНУ, куда поступает термальная вода низкой температуры и где наиболее оптимальными являются средние температуры конденсации, работает только на обеспечение нужд горячего водоснабжения. В технологической схеме достигается максимальное использование продукции геотермальной скважины, когда одновременно решаются проблемы отопления, горячего и холодного водоснабжения, т.е. используется тепловой потенциал термальной воды и собственно сама вода на холодное и горячее водоснабжение. Такие технологические схемы в первую очередь перспективны для малых населенных пунктов, где всегда имеются проблемы отопления и снабжения населения качественной питьевой водой.
Системы теплонасосного теплоснабжения с грунтовыми теплообменниками в вертикальных скважинах
При отсутствии на небольших глубинах грунтовой или слаботермальной воды в ТНУ малой мощности можно использовать теплоту грунта земли. Такой экологически чистый источник тепла достаточно широко используется в США, Дании, Германии, Швейцарии, Швеции, Норвегии. Для отбора тепла применяют грунтовые теплообменники. Накоплен некоторый опыт использования тепла грунта и в России. По технологиям ОАО «Инсолар-Инвест» внедрен ряд проектов по ТСТ с использованием низкопотенциальной тепловой энергии поверхностных слоев земли (демонстрационный комплекс «Экопарк-Фили», теплоснабжение сельской школы в Ярославской обл., энергоэффективный жилой дом в Москве).

Для широкой реализации ТСТ с грунтовыми теплообменниками необходимо разработать оптимальные конструкции теплообменников, исследовать взаимное влияние теплового насоса и грунтового теплообменника и оптимизировать режимы эксплуатации всей установки. Теплообменники в грунте могут быть расположены горизонтально (на глубине до 3 м) и вертикально (скважинные теплообменники). Наиболее эффективным является вертикальный грунтовый теплообменник. В качестве такого теплообменника может служить вертикальная скважина (рис. 2.5), внутрь которой помещена дополнительная теплоизолированная труба меньшего диаметра. Промежуточный теплоноситель (вода) опускается по межтрубному кольцевому пространству теплообменника и отбирает тепло от окружающей горной породы, далее в нагретом состоянии поднимается по внутренней трубе.
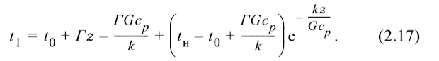
Процесс теплопередачи в вертикальном грунтовом теплообменнике с учетом граничного условия t1(z = 0) = tн описывается уравнением:

где t1 — температура промежуточного теплоносителя, °С; z — вертикальная координата, м; k — линейный коэффициент теплопередачи от горной породы к промежуточному теплоносителю, Вт/м • °С; G — массовый расход промежуточного теплоносителя, кг/с; cp — теплоемкость промежуточного теплоносителя, Дж/кг • °С; t0 — температура нейтрального слоя, °С; Г — геотермический градиент, °С/м; tн — температура промежуточного теплоносителя на входе в теплообменник, °С.
Решая (2.16) получаем формулу для определения характера изменения температуры промежуточного теплоносителя по глубине грунтового теплообменника.

Параметры, входящие в (2.17) кроме коэффициента теплопередачи k, заранее известны. Для определения k необходимо знать радиус зоны возмущения температурного поля в горной породе вокруг скважины.
Циркуляция промежуточного теплоносителя в вертикальном грунтовом теплообменнике влияет на тепловое поле вокруг скважины. Диаметр зоны возмущения температурного поля зависит от диаметра скважины, интенсивности и длительности работы грунтового теплообменника, температуры и теплофизических свойств пород и промежуточного теплоносителя. Теоретически при циркуляции промежуточного теплоносителя температура пород должна изменяться на бесконечно большом расстоянии. Однако практически в пласте всегда можно выделить границу, за пределами которой пласт сохраняет свою естественную температуру. Радиус теплового влияния R определяется по формуле

Здесь a — температуропроводность пород, , м2/c; τ — время, с.
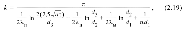
В таком случае, линейный коэффициент теплопередачи определяется по формуле:

где d3 — диаметр скважины по долоту, м; d1, d2 — внутренний и наружный диаметры наружной колонны труб; λп, λц, λм — соответственно коэффициенты теплопроводности горной породы, цементного кольца и металла, Вт/(м•°С); α — коэффициент теплоотдачи от внутренней стенки наружной колонны труб к промежуточному теплоносителю, Вт/(м2•°С).
Исследования свидетельствуют о том, что с увеличением времени эксплуатации теплообменника эффективность съема тепла с горной породы снижается (происходит уменьшение значения коэффициента теплопередачи k от грунта к промежуточному теплоносителю). Увеличение расхода промежуточного теплоносителя приводит к некоторому увеличению коэффициента теплопередачи в начальный период эксплуатации скважины. В дальнейшем, при увеличении времени эксплуатации, основным в процессе теплопередачи становится термическое сопротивление горных пород. За счет того, что коэффициент теплопередачи при малом времени эксплуатации скважины значительно выше, чем при ее эксплуатации в течение продолжительного времени, теплообменник глубиной 100 м, находящийся в эксплуатации в течение 24 ч, по отбираемому теплу практически равнозначен теплообменнику глубиной 200 м, эксплуатируемому непрерывно в течение всего отопительного сезона. Расчеты показывают, что оптимальный расход промежуточного теплоносителя составляет 0,5— 0,6 кг/с. Дальнейшее увеличение расхода практически не приводит к увеличению теплосъема с горной породы.
Извлекаемая из грунтового теплообменника тепловая энергия линейно зависит от глубины теплообменника. При этом удельный съем тепла q с горной породы на 1 м глубины теплообменника составляет: для теплообменника глубиной 200 м и его эксплуатации в течение 150 сут q = 33 Вт/м; при глубине теплообменника 100 м и его эксплуатации в течение 2 сут q = 60 Вт/м.
Оптимальной является ТСТ с двумя грунтовыми теплообменниками в вертикальных скважинах, работающих попеременно в циклическом режиме (одна скважина работает 24 ч, другая находится в простое для восстановления температурного поля вокруг скважины). Недостатком ТСТ с двумя скважинами является необходимость в частом переключении циркуляционного потока от одной скважины к другой. В то же время в ТСТ с одной скважиной глубиной 200 м капитальные затраты на ее устройство выше суммарных затрат на устройство двух скважин глубиной 100 м каждая. Кроме того, и эксплуатационные затраты, связанные с прокачкой теплоносителя, в глубокой скважине выше из-за увеличения в 2 раза потерь напора на трение по высоте теплообменника.

На рис. 2.6 приведена принципиальная технологическая схема ТСТ с двумя вертикальными грунтовыми теплообменниками, разработанная в ИПГ ДНЦ РАН. В предложенной схеме вентили 1 закрыты, и промежуточный теплоноситель циркулирует по контуру «левый грунтовый теплообменник — испаритель теплового насоса — циркуляционный насос». Через определенное время вентили 1 открываются с одновременным закрытием вентилей 2 и теплоноситель переключают на правый теплообменник.
Окончательный выбор технологической схемы ТСТ, режима эксплуатации, глубины и количества грунтовых теплообменников зависит от технико-экономического обоснования с учетом капитальных и эксплуатационных затрат, горно-геологических и теплофизических свойств пород разреза и гидрогеологических условий. Наличие горизонта подземных вод в разрезе проходимом при бурении позволит сократить как глубину скважин, так и их количество.
Теплонасосные системы теплоснабжения с вертикальными грунтовыми теплообменниками могут быть успешно применены для создания экологически чистых децентрализованных систем отопления и горячего водоснабжения сельских потребителей. Скважинытеплообменники не требуют заметного отчуждения земли и могут сооружаться под фундаментом здания или в непосредственной близости от него. Широкое применение этих технологий теплоснабжения позволит не только разрешить проблемы, связанные с приобретением и доставкой энергоносителей в отдаленные населенные пункты, но и самым существенным образом будет способствовать социальным преобразованиям в сельской местности.

На рис. 2.7 приведена схема ТСТ с автоматизированной теплонасосной установкой АТНУ-10 (разработчик ОАО «Инсолар-Инвест»). Автоматизированная установка АТНУ-10 используется в составе ТСТ для отопления, охлаждения и горячего водоснабжения. Установка состоит из теплового насоса НТБ-10 с блоком автоматики и блока горячего водоснабжения с автоматикой (БГВ). Промежуточный теплоноситель (вода) циркулирует в контуре «скважина-теплообменник — циркуляционный насос — испаритель», отбирает тепло в скважине от окружающей горной породы и передает его в испарителе низкокипящему рабочему агенту R22. Теплоноситель в испарителе охлаждается на 4 °С. Отбираемая от горной породы тепло через конденсатор передается в контур теплоснабжения — в БГВ и систему отопления. Помещения отапливаются с помощью напольных элементов и панельных радиаторов, где теплоноситель охлаждается на 8—10 °С. При низких температурах наружного воздуха включается пиковый электродоводчик.
Эффективная работа тепловых насосов НТБ-10, которые применяют для отопления в ТСТ, обеспечивается:
- высокими требованиями к теплоизоляции отапливаемых помещений (максимальное потребление тепла не должно превышать 80 Вт/м2);
- наличием низкотемпературной системы отопления, которая обеспечивает достаточное для комфорта теплоснабжение при значениях температуры теплоносителя в подающей линии не более 40—45 °С. Очень хорошие перспективы в этом отношении имеет напольное отопление, конвекторы, панельные радиаторы с достаточно большой площадью поверхности.
Блок горячего водоснабжения состоит из бака-аккумулятора горячей воды с приборами автоматики и контроля, встроенных электронагревателей (ТЭНов), теплообменника, блока автоматики.
Бак-аккумулятор рассчитан на 200 л воды, температура воды в баке при нагреве от теплового насоса примерно 37—42 °С, а от электронагревателей — 75 °С. Время нагрева воды от теплового насоса до температуры 40 °С составляет 5 ч, производительность при температуре воды в баке-аккумуляторе 37 °С равна 1500 л/сут. Блок автоматики поддерживает в баке-аккумуляторе заданную потребителем температуру воды. Если необходимо поднять температуру воды до 75 °С или быстро нагреть дополнительный объем воды, включаются электронагреватели.
Благодаря полной автоматизации ТСТ с АТНУ-10 не требует постоянного обслуживания. В доме, оборудованном таким ТСТ, жилец сам выставляет на пульте управления температуру, которую он хочет иметь в комнатах. Температурные датчики, установленные в доме, будут автоматически включать или отключать тепловой насос, благодаря чему поддерживается заданная температура. Ночью или на время длительного отсутствия жильцов может быть задана пониженная температура воздуха в комнатах, что значительно снизит затраты энергии на отопление.
Учитывая, что поверхностные слои грунта являются достаточно универсальным и повсеместно доступным источником низкопотенциального тепла возможности применения технологий ТСТ с вертикальными грунтовыми теплообменниками в России неограниченные. Сегодня в стране насчитывается более 30 млн индивидуальных генераторов тепла, имеющих, как правило, низкоэффективное оборудование с повышенным выбросом загрязняющих веществ в атмосферу, от которых необходимо отказаться в ближайшее время. Наиболее перспективным направлением решения такой проблемы является широкое внедрение технологий теплонасосного теплоснабжения с грунтовыми теплообменниками в вертикальных скважинах.
Эколого-экономические аспекты использования тепловых насосов
Широкое развитие за рубежом тепловые насосы получили благодаря следующим факторам:
- экономичности (для передачи в систему отопления 1 кВт тепловой энергии требуется 0,2—0,35 кВт электроэнергии);
- экологичности (топливо не сжигается и вредных выбросов не производится);
- минимальному обслуживанию (для обслуживания ТНУ мощностью до 10 МВт требуется один оператор в смену);
- малому сроку окупаемости в связи с низкой себестоимостью производимого тепла.
Эффективность применения теплового насоса проявляется в сравнительном анализе с традиционными системами теплоснабжения. Например, ТНУ расходует в 3—4 раза меньше топлива, чем угольная котельная. Возможность загрязнения окружающей среды при использовании теплового насоса обусловлена только выбросами, связанными с производством электроэнергии, обеспечивающей работу теплового насоса. Действующий тепловой насос непосредственно на месте его установки не дает вредных выбросов. Если электроэнергия вырабатывается ГЭС то, естественно, производство тепла тепловыми насосами является абсолютно чистой с экологической точки зрения технологией. Поэтому оценка экологической теплонасосной техники может быть дана применительно к варианту, когда электроэнергия производится на угольных или мазутных тепловых электростанциях. Естественно, что объем вредных выбросов при получении тепла от тепловых насосов зависит от коэффициента преобразования μ, показывающего, какую долю электроэнергии нужно затратить на единицу вырабатываемой ТН тепловой энергии.
В табл. 2.1 приведена сравнительная оценка вредных выбросов от различных источников тепла единичной тепловой мощности 1 Гкал/ч (1,16 МВт) в течение отопительного периода (5500 ч для региона Западной Сибири). Данные таблицы показывают, что переход на теплонасосное теплоснабжение позволяет резко, в 3—8 раз, сократить вредные выбросы.

При одинаковой теплопроизводительности, например 1,16 МВт, удельная экономия топлива при использовании теплонасосной системы составит по сравнению с электроотоплением 0,277 — 0,335 т у.т., котельной на каменном угле (КПД = 0,65) 0,113—0,121 т у.т., котельной на природном газе (КПД = 0,8) 0,072—0,13 т у.т., где первое значение относится к использованию в тепловом насосе низкопотенциального источника тепла температурой 5 °С, второе — источника тепла температурой 40 °С.
Стоимость тепловой энергии, производимой традиционными методами в районных центрах (котельные) и крупных городах (ТЭЦ и котельные) в 2—4 раза выше, чем в теплонасосных установках.
Экономическую целесообразность применения энергосберегающих проектов с применением ТНУ определяют исходя из сравнительной экономической эффективности капитальных вложений, необходимых для осуществления такого мероприятия, т.е. сопоставляя затраты и результаты, полученные при тех или иных затратах. Наиболее целесообразным является вариант решения, при котором приведенные затраты минимальны:
Зп = αK + Э – Д,
где Зп — приведенные затраты, руб/год; α — коэффициент приведения; K — капитальные затраты на реализацию проекта, руб; Э — эксплуатационные затраты, руб/год; Д — доходность (экономичность) проекта, руб/год.
Коэффициент приведения рассчитывается с учетом нормативного коэффициента эффективности капитальных вложений. Капитальные затраты определяются исходя из укрупненных величин капитальных вложений с учетом монтажа оборудования, обучения обслуживающего персонала и сдачи объекта «под ключ». По данным ЗАО «Энергия» (г. Новосибирск), производящего тепловые насосы и имеющего большой опыт их внедрения и эксплуатации, укрупненная стоимость ТНУ определяется исходя из ее тепловой мощности и равна 3500 тыс. руб. за 1 Гкал/ч. Срок окупаемости тепловых насосов, составляет 2 года, а стоимость тепла генерируемого энергоустановками на их основе примерно 40—65 % стоимости тепла, вырабатываемого на ТЭЦ.
Несмотря на очевидные преимущества тепловых насосов, их внедрение встречает определенные трудности, связанные с нерешенностью законодательных, правовых, экономических, финансовых, нормативно-технических и технологических проблем. Не последнюю роль играет большая новизна и непривычность этой техники для наших потребителей.
