Развитие ветроэнергетики в мире
С древнейших времен человек использовал энергию ветра сначала в судоходстве, а затем для замены своей мускульной силы. Первые простейшие ветродвигатели применяли в глубокой древности в Египте и Китае. В Египте (около г. Александрии) сохранились остатки каменных ветряных мельниц барабанного типа, построенных еще во 2–1 вв. до н. э. В 7 в. н. э. в Иране строили ветряные мельницы уже более совершенной конструкции — крыльчатые. Несколько позднее (8–9 вв.) ветряные мельницы появились на Руси и в Европе. Начиная с 13 в. ветродвигатели получили широкое распространение в Западной Европе, особенно в Голландии, Дании и Англии, для подъема воды, размола зерна и приведения в движение различных станков. В начале 20 века в крестьянских хозяйствах России насчитывалось около 250 тыс. ветряных мельниц, которые ежегодно перемалывали половину урожая. С изобретением паровых машин, а затем двигателей внутреннего сгорания и электродвигателей старые примитивные ветряные двигатели и мельницы были вытеснены из многих отраслей и остались, главным образом, в сельском хозяйстве.
Энергия ветра оценивается в 175–219 тыс. ТВт · ч в год, при этом развиваемая им мощность достигает (20–25) · 109 кВт. Это примерно в 2,7 раза больше суммарного расхода энергии на планете. Считают, однако, что полезно может быть использовано только 5 % этой энергии; в настоящее время используется значительно меньше.
Использование энергии ветра — динамично развивающаяся сегодня отрасль мировой энергетики. Если суммарная установленная мощность ветроэнергетических установок (ВЭУ) в мире в 2000 г. составляла 17,8 ГВт, то в 2005 г. она достигла уже 59,27 ГВт (табл. 3.1). Темпы развития ветроэнергетики во всем мире в 2005 г. значительно увеличились. Мощность вновь введенных ВЭУ составила 11408 МВт, что превышает показатель предыдущего года на 40 %. В последние годы происходит ускоренное развитие ветроэнергетики в неевропейских странах.


Состояние развития ветроэнергетики в мире в 2005 г. и прогноз на 2010 г.
В Европе, где в последние 10 лет темпы развития ветроэнергетики были также довольно высоки, ситуация стабилизировалась на высоком уровне и ввод в 2005 г. 6372 МВт ВЭУ обеспечил прирост мощности примерно на 8% по сравнению с 2004 г. С долей в 69% Европа остается лидирующим континентом по производству энергии от ВЭУ. Ведущими странами в области ветроэнергетики являются Германия и Испания. Из 6373 МВт, введенных в 2005 г., 3572 МВт (56%) приходится на эти две страны. В Дании 13% электроэнергии вырабатывается с помощью ВЭУ, половина турбин изготавливается в этой стране.
Суммарная установленная мощность ВЭУ в мире в 2006 и 2007 гг. соответственно достигла 73904 и 93849 МВт. По прогнозам Всемирной ветроэнергетической ассоциации (WWEA) к 2010 г. установленная мощность мировой ветроэнергетической отрасли достигнет 170 000 МВт.
В 2007 г. наибольшее число ветряных установок внедрили США. За год мощность ВЭУ увеличили на 5215 МВт и по суммарной установленной мощности они вышли на второе место в мире.

Тенденцией последних десятилетий является непрерывный рост единичной мощности сетевых ВЭУ. Еще 10 лет назад типичной ВЭУ в составе ветровых ферм была установка мощностью 300–500 кВт. В 2000–2002 гг. серийной стала ВЭУ мощностью 1–1,2 МВт. Это приводит к снижению стоимости установленного киловатта, которая сегодня находится на уровне 1000 $ за 1 кВт. При благоприятных характеристиках ветра стоимость электроэнергии, вырабатываемой крупной ветровой установкой, приближается к ее стоимости на топливных электростанциях.

В 1998 г. немецкая компания Sudwind выпустила на рынок ВЭУ мощностью 1,8 МВт. В середине 1999 г. компания NEG Micon установила ВЭУ мощностью 2 МВт с диаметром ротора 72 м. Эта же компания в 2003 г. на выставке в Мадриде продемонстрировала ВЭУ мощностью 4,2 МВт. Сегодня несколько компаний производят ВЭУ с мощностью в интервале 3–5 МВт. Это гиганты с диаметром ротора более 100 м и с высотой башни около 100 м. Например, ВЭУ NEG Micon NM110/4200 мощностью 4,2 МВт имеет ротор диаметром 110 м весом 69 т с тремя лопастями длиной 54 м каждая.

В мире ВЭУ достигли сегодня уровня коммерческой зрелости и в местах со среднегодовыми скоростями ветра более 5 м/сек успешно конкурируют с традиционными источниками электроснабжения.
С 1995 г. установленная мощность ВЭС в мире увеличилась почти в 20 раз: с 4800 МВт до 93849 МВт (на конец 2007 г.). Расширение мирового рынка ветроэнергетики привело к значительному падению цен на энергию, производимую ветром. При расположении ветропарков на площадках с хорошим ветровым режимом производимая ими электроэнергия оказывается дешевле, чем энергия угольных, газовых и атомных станций. Кроме того, если бы скрытые издержки, связанные с воздействием на окружающую среду и здоровье людей при использовании ископаемого топлива и ядерной энергии, были включены в стоимость электроэнергии, выработка электричества ВЭС оказалась бы еще дешевле.
В России до недавнего времени развитию ветроэнергетики не уделялось должного внимания. Разрабатывавшиеся в конце прошлого века ВЭУ мощностью в 250 кВт не были доведены до необходимых требований по надежности и эффективности. Поэтому практически все крупные ВЭУ, действующие сегодня в России, укомплектованы импортными агрегатами.
Ветроэнергетические установки
Ветер как источник энергии характеризуется, прежде всего, скоростью. Скорость ветра в данном месте очень непостоянная величина. Для нее характерны быстрые изменения (порывы) и медленные (погодные, суточные, сезонные). Поэтому данное место характеризуют среднегодовой скоростью ветра. Обычно в справочниках на основании данных метеостанций приводятся скорости ветра на высоте 10 м. Для сооружения крупной (ВЭУ) предпочтительно знать скорость ветра на высоте 80 м.
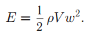
Кинетическая энергия потока воздуха E (Дж), занимающего объем V (м3), имеющего плотность ρ (кг/м3) и движущегося со скоростью w (м/с), определяется по формуле

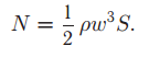
Мощность ветрового потока N (Вт), проходящего через площадь S (м2), определяется по формуле

Для S = 1 м2 получаем значение удельной мощности ветрового потока со скоростью w:

Обычно в ветроэнергетике используется рабочий диапазон скоростей ветра, не превышающих 25 м/с. Эта скорость соответствует 9-балльному ветру (шторм) по 12-балльной шкале Бофорта. Ниже для указанного рабочего диапазона скоростей ветра приведены значения удельной мощности Nуд:

С помощью ВЭУ в механическую энергию может быть преобразована только часть энергии ветрового потока. Отношение кинетической энергии ветрового потока Eв, преобразованной с помощью ветровой турбины в механическую энергию, к кинетической энергии невозмущенного ветрового потока E называется коэффициентом мощности, или коэффициентом использования энергии ветра,

С учетом коэффициента мощности мощность ветротурбины
![]()
Для каждой ВЭУ можно выделить следующие три характерных значения рабочей скорости ветра:
- wminр , при которой 0≤w≤wminр и мощность ВЭУ равна нулю;
- wNр, при которой wminр≤w≤wNр и мощность ВЭУ меняется в зависимости от скорости ветра и частоты вращения ротора;
- wmaxр , при которой w>wmaxр и мощность ВЭУ равняется нулю за счет принудительного торможения ротора.
Для ориентировочных расчетов в диапазоне скоростей ветра от wminр до wNр полезная мощность ВЭУ для заданных скорости ветра w на высоте башни Hб(м) и диаметре ротора ВЭУ D(м) рассчитывается по формуле
(3.6)
где S = πD2/4; ηр — КПД ротора (около 0,9); ηг — КПД электрогенератора (около 0,95); ξ — коэффициент мощности, обычно принимаемый равным 0,45 в практических расчетах; ρ = 1,226 кг/м3
После подстановки всех указанных значений в (3.6) получаем для ориентировочных расчетов
![]()
Для малых ВЭУ wminр находится обычно в пределах 2,5–4 м/с, а wNр — от 8 до 10 м/с. Для крупных ВЭУ указанные значения составляют 4–5 и 12–15 м/с.
В большинстве конструкций ветроэнергетических установок для преобразования кинетической энергии ветра в механическую энергию используется принцип подъемной силы крыла.
Принято считать, что крупные ВЭУ целесообразно устанавливать в месте, где среднегодовая скорость ветра не ниже 5 м/с. Для оценки количества электроэнергии, которое будет произведено данной ВЭУ за год, необходимо также знать усредненную по многолетним наблюдениям вероятность наличия ветра с той или иной скоростью. На этом основании вычисляется коэффициент использования установленной мощности, т. е. число часов в году, в течение которых ВЭУ работает как бы с номинальной мощностью. Эта величина определяется как частное от деления выработанной за год электроэнергии на номинальную мощность ВЭУ. Для благоприятных мест с более или менее постоянным ветром (ущелья, горные хребты, шельф) этот показатель может достигать 3000 ч/год (коэффициент использования установленной мощности около 0,3).
Существуют две основные разновидности ВЭУ: с горизонтальным и с вертикальным валом. Сегодня в подавляющем числе случаев применяются ветровые турбины с горизонтальным валом (ТГВ), устанавливаемом параллельно вектору скорости ветра. Приемником энергии ветра является ветроколесо, состоящее из того или иного числа лопастей (рис. 3.4).

2 — двухлопастное колесо; 3 — трехлопастное колесо; 4 — многолопастное
колесо
ВЭУ большой мощности, как правило, 3-х или 2-х лопастные. Малые ВЭУ иногда выполняются как многолопастные. Лопасти имеют аэродинамический профиль и при взаимодействии с ветром создают подъемную силу, лежащую в плоскости колеса, направленную тангенциально и создающую полезный крутящий момент.
В подавляющем большинстве случаев мощность от ветроколеса передается электрогенератору. Для различных ВЭУ применяются разные типы электрогенераторов: от генераторов постоянного тока с постоянными магнитами (для малых ВЭУ), до синхронных или асинхронных генераторов переменного тока. В зависимости от используемого электрогенератора вал ветроколеса соединен с ним либо непосредственно, либо через мультипликатор. Если синхронный генератор ВЭУ присоединен к сети переменного тока, его ротор вращается с синхронной скоростью и необходимое передаточное число обеспечивается мультипликатором. В этом варианте резкие колебания скорости ветра передаются на трансмиссию, вызывая механические напряжения. Эти напряжения несколько демпфируются при использовании асинхронного генератора, допускающего некоторое отклонение от синхронной скорости (скольжение). Поскольку каждой скорости ветра соответствует оптимальная скорость вращения ветроколеса, то в ряде схем генератор также вращается с переменной скоростью. В этих случаях получение тока нужного качества и синхронизация с сетью обеспечиваются электроникой. При этом может быть применен генератор постоянного тока, либо переменного тока с плавающей частотой.
Одна из серьезных проблем для крупных ВЭУ — защита от скоростей ветра, превышающих расчетную. С этой целью используются аэродинамические ограничители и механические тормоза. Простейший аэродинамический тормоз основан на том, что при увеличении скорости вращения лопасти угол атаки лопасти растет и, когда он превысит 11–12 град, происходит срыв потока и скачкообразное уменьшение подъемной силы. Более тонкое аэродинамическое регулирование достигается изменением угла атаки путем поворота лопасти вокруг ее оси.
Наряду с ТГВ разрабатываются и иногда применяются ВЭУ с турбинами с вертикальным валом (ТВВ). Такие ВЭУ имеют некоторое количество вертикальных лопастей, размещенных по периметру круга того или иного диаметра и механически соединенных с вертикальным валом, вращающимся в центре этого круга. Вертикальный вал либо непосредственно, либо через мультипликатор, соединен с электрогенератором, установленным на уровне земли. Достоинством ТВВ является отсутствие поворотного устройства, следящего за направлением ветра, и отсутствие высокой башни. Недостатками — более низкий КПД и необходимость первоначальной раскрутки ротора от внешнего источника.
Хотя существуют проекты и были созданы достаточно крупные ТВВ, сегодня областью их преимущественного применения являются автономные установки сравнительно небольшой мощности. На рис. 3.5 изображена ВЭУ, выпускаемая итальянской компанией ROPATEC AG. Компания производит ВЭУ мощностью от 750 Вт до 6 кВт. Ее отличительная особенность в том, что она автоматически запускается независимо от направления ветра при скорости 2–3 м/с. Для этого ротор представляет собой сочетание роторов Савониуса (аналогичный ротору чашечного анемометра) и Дарье. В отличие от ТГВ данная установка не имеет ограничений по скорости ветра сверху. При скорости более 14 м/с ВЭУ не отключается и аэродинамически поддерживается нужное число оборотов.

ВЭУ 750 Вт имеет диаметр ротора 1,5 м и весит 140 кг. Разработка ROPATEC отличается тем, что она практически бесшумна, имеет специальный генератор, непосредственно без мультипликатора связанный с ротором.
ВЭУ можно применять не только для выработки электроэнергии, но и для непосредственного привода различных агрегатов. Есть целый ряд производств, где имеет значение лишь недельный или месячный объем выпускаемой продукции, а ритмичность ее производства в течение этих периодов времени не так важна. В первую очередь это те производства, где срок годности продукции мало зависит от длительности ее хранения. К ним можно отнести выпуск сырья и полуфабрикатов для изготовления строительных материалов: дробление щебня, известняка, глины для производства кирпича, дробление или помол гипса и алебастра, помол мергеля и клинкера в производстве цемента.
Дробление и особенно помол любого продукта исключительно энергоемки. Поэтому представляет практический интерес изучение возможности использования ветродвигателей для привода помольного оборудования, что является развитием известного подхода, который ранее применялся во многих странах, в том числе в России. До широкого применения электроэнергии в сельскохозяйственном производстве небольшие ветряные мельницы мощностью от 2 до 10 кВт были весьма распространены. Например, до 1917 г. в России было около 250 тыс. крестьянских ветряных мельниц, перемалывавших ежегодно более 32 млн т зерна. Указанные объемы помола зерна вполне сопоставимы с объемами производства современной мукомольной промышленности России.
Использование энергии ветра для предлагаемых целей представляет практический интерес в случае, когда мощность ветроустановки составляет не менее 100–200 кВт, а годовое число часов со скоростью ветра 6–8 м/с в данной местности — не менее 2000–3000. Для ветроустановок подобного типа в настоящее время появилась возможность использования списанных несущих винтов средних и тяжелых вертолетов. По действующим в авиации правилам после наработки определенного количества часов в воздухе вертолетный винт, несмотря на его вполне годное состояние, с летательного аппарата снимается.
Несущий винт вертолета МИ-8 имеет диаметр 22 м и при скорости ветра 8 м/с на ветроустановке может развить мощность 150 кВт, а винт вертолета МИ-6 диаметром 35 м применим для ветроустановки мощностью 300 кВт.
В России существует значительный нереализованный задел в области ветроэнергетики. Фундаментальные исследования аэродинамики ветряка, осуществленные в ЦАГИ, заложили основу современных ветротурбин с высоким коэффициентом использования энергии ветра. Однако жесткая ориентация на большую энергетику (угольная, ядерная и гидроэнергетика) и почти полное игнорирование новаций и экологических проблем надолго затормозило развитие ветроэнергетики. Выпускаемые «Ветроэном» ВЭУ не отвечали современным требованиям и представлениям высоких технологий ветроэнергетической индустрии. Толчком для дальнейшего продвижения и создания современного ветроэнергетического оборудования стала федеральная научно-техническая программа «Экологически чистая энергетика».
Опытный образецветроагрегата мегаваттного класса был спроектирован и построен МКБ «Радуга», который организовал кооперацию предприятий авиационной промышленности. Разработка, изготовление и строительство финансировалось правительством Калмыкии. Ветроагрегат был построен недалеко от Элисты и вырабатывал 2300–2900 тыс. кВт ч электроэенергии в год. Ветроагрегат подключен к сети. В МКБ «Радуга» были спроектированы ветроагрегаты мощностью 8 кВт и 250 кВт.
Российской Ассоциацией развития ветроэнергетики «Energobalance Sovena» совместно с немецкой фирмой «Husumer Schiffs Wert» (HSW) были изготовлены 10 ветроагрегатов сетевого исполнения единичной мощностью 30 кВт. Ветропарк с установленной мощностью 300 кВт был построен в 1996 г. в Ростовской области и запущен в эксплуатацию.
Суммарная мощность ВЭС России составляет всего 16,5 МВт. Успешно эксплуатируются станция «Куликово» (5,1 МВт) в Калининградской области, ветроэлектрический парк «Заполярный» (2,5 МВТ), станция «Тюпкильди» в Башкирии (2,2 МВт), Ростовская ВЭС (0,3 МВт), Анадырская ВЭС (2,5 МВт) на Чукотке, ВЭС на о. Беринга (1,2 МВт) и Мурманская ВЭС (0,2 МВт). Большинство этих станций носит экспериментальный характер.
В России к перспективным районам — зонам ветровой активности относятся острова Северного Ледовитого океана от Кольского полуострова до Камчатки, районы Нижней и Средней Волги и Каспийского моря, побережье Охотского, Баренцева, Балтийского, Черного и Азовского морей. Такие зоны также есть в Карелии, на Алтае, в Туве, на Байкале. Эти районы не входят в число районов, относящихся к центральному энергоснабжению, в связи с чем целесообразно в этих зонах для обеспечения их электроэнергией использовать ветровые электростанции.

Сегодня возможны следующие сценарии развития ветроэнергетики в России: закупка и монтаж зарубежных ветроагрегатов; трансферт западных технологий и организация производства в России; кооперация с зарубежными фирмами и производство ветроагрегатов в России; организация производства собственных ветроагрегатов, ноу-хау которых защищено международным законодательством.
Для России предпочтительней последний сценарий, однако он сдерживается существующим налоговым законодательством, монополией производителей электроэнергии, отсутствием инвестиций и развалом производства.

Оценивая перспективы ветроэнергетики для России, можно заключить, что в ближайшее время будут внедряться в основном автономные ВЭУ средней и малой мощности, преимущественно в отдаленных регионах, для потребителей, не присоединенных к централизованным системам энергоснабжения.
Работа ветрового колеса крыльчатого ветродвигателя
Крыльчатые ветроколеса работают за счёт косого удара при движении лопастей перпендикулярно к направлению скорости ветра в противоположность к прямому удару, рассмотренному в предыдущем случае. Устройство такого колеса показано на рис. 6.4.1.

На горизонтальном валу закреплены крылья, число которых у современных ветродвигателей бывает от 2 и больше. Крыло ветроколеса состоит из маха а и лопасти б, закрепляемой на махе так, что она образует с плоскостью вращения некоторый угол ϕ. Этот угол называют углом заклинения лопасти (рис. 6.4.1). При этом на её элементы набегает воздушный поток с относительной скоростью W под углом α , который называют углом атаки, и действует с силой R. Углы ϕ и α в значительной мере определяют эффективность крыльев. Силу R раскладывают на силы Px и Py. Силы Pxпроизводят давление в направлении ветра, которое называется лобовым давлением. Силы Pyдействуют в плоскости y − y вращения ветроколеса и создают крутящий момент.

Максимальные силы, приводящие колесо во вращение, получаются при некотором значении угла атаки α, т. е. угла наклона относительного потока к поверхности лопасти. Ввиду того что окружная скоростью длине крыла не одинакова, а возрастает по мере удаления его элементов от оси вращения ветроколеса, относительная скорость W набегания потока на лопасть также возрастает. Вместе с этим убывает угол атаки α , и при некоторой окружной скорости ωR, где ω угловая скорость, этот угол станет отрицательным (рис. 6.4.2, б). Следовательно, не все элементы крыла будут иметь максимальную подъёмную силу.
Если мы будем уменьшать угол ϕ каждого элемента лопасти по мере удаления его от оси вращения так, чтобы наивыгоднейший угол атаки α примерно сохранялся постоянным, то мы получим условие, при котором приблизительно все элементы лопасти будут работать со своей максимальной подъёмной силой. Лопасть с переменным углом заклинения со получает форму винтовой поверхности.
Правильные углы заклинения лопасти при хорошем аэродинамическом качестве профиля, а также ширине, соответствующей заданной быстроходности, обеспечивают высокий коэффициент использования энергии ветра. У хорошо выполненных моделей он достигает 46%.
Работа поверхности при действии на нее силы ветра
Скоростью ветра называют расстояние в метрах, проходимое массой воздуха в течение одной секунды. Скорость ветра постоянно меняется по величине и направлению. Причиной этих изменений является неравномерное нагревание земной поверхности и неровности рельефа местности.
Скорость ветра является важнейшей характеристикой технических свойств ветра. Поток ветра с поперечным сечением F обладает кинетической энергией, определяемой выражением:

Масса воздуха, протекающая через поперечное сечение F со скоростью V , равна:
![]()
Подставив (6.3.2) в выражение кинетической энергии (6.3.1), получим:

откуда следует, что энергия ветра изменяется пропорционально кубу его скорости.
Посмотрим, сколько процентов энергии ветра может превратить в полезную работу поверхность, поставленная перпендикулярно к направлению ветра и перемещающаяся в этом же направлении, что имеет место, например, у ветродвигателей карусельного типа.
Мощность T определяется произведением силы P на скорость V :
![]()
Одну и ту же работу можно получить либо за счёт большой силы, при малой скорости перемещения рабочей поверхности, либо, наоборот, за счёт малой силы, а следовательно, и малой поверхности, но при соответственно увеличенной скорости её перемещения.
Допустим, мы имеем поверхность F, поставленную перпендикулярно к направлению ветра. Воздушный поток вследствие торможения его поверхностью получит подпор и будет обтекать её и производить давление силой Px. Вследствие действия этой силы поверхность будет перемещаться в направлении потока с некоторой скоростью U (рис. 6.3.3); работа при этом будет равна произведению силы на скорость U , с которой перемещается поверхность F, т. е.:
![]()
где Px – сила сопротивления, которая равна :

где Cx – аэродинамический коэффициент лобового сопротивления; F – поверхность миделевого сечения теля, т.е. проекции площади тела на плоскость, перпендикулярную направлению воздушного потока.
В этом случае ветер набегает на поверхность с относительной скоростью, равной:
![]()
Подставив значение Px из уравнения (6.3.6) в уравнение (6.3.5), получим:

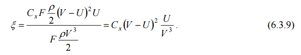
Определим отношение работы, развиваемой движущейся поверхностью и выраженной уравнением (6.3.8), к энергии ветрового потока, имеющего поперечное сечение, равное этой поверхности, а именно:

После преобразований получим:

Величину ξ называют коэффициентом использования энергии ветра.
Из уравнения (6.3.10) мы видим, что ξ зависит от скорости перемещения поверхности в направлении ветра. При некотором значении скорости U коэффициент ξ получает максимальное значение. В самом деле, если скорость перемещения поверхности равна нулю U = 0, то работа ветра также равна нулю. Если U = V, т.е. поверхность перемещается со скоростью ветра, работа также будет равна нулю, так как нет силы сопротивления, за счёт которой совершается работа. Отсюда следует, что значение скорости U заключено в пределах между U = 0 и U = V.
Установлено, чтобы получить максимальное ξ , поверхность должна перемещаться со скоростью:

Максимальный коэффициент использования энергии ветра при работе поверхности силой сопротивления не может быть больше ξ = 0,192 .
Классификация ветродвигателей по принципу работы
Существующие системы ветродвигателей по схеме устройства ветроколеса и его положению в потоке ветра разделяются на три класса.
Первый класс включает ветродвигатели, у которых ветровое колесо располагается в вертикальной плоскости; при этом плоскость вращения перпендикулярна направлению ветра, и, следовательно, ось ветроколеса параллельна потоку. Такие ветродвигатели называются крыльчатыми.
Быстроходностью называется отношение окружной скорости конца лопасти к скорости ветра:
Крыльчатые ветродвигатели, согласно ГОСТ 2656-44, в зависимости от типа ветроколеса и быстроходности, разделяются на три группы.
- ветродвигатели многолопастные, тихоходные, с быстроходностью Zn ≤ 2 .
- ветродвигатели малолопастные, тихоходные, в том числе ветряные мельницы, с быстроходностью Zn > 2.
- ветродвигатели малолопастные, быстроходные, Zn ≥ 3.
Ко второму классу относятся системы ветродвигателей с вертикальной осью вращения ветрового колеса. По конструктивной схеме они разбиваются на группы:
- карусельные, у которых нерабочие лопасти либо прикрываются ширмой, либо располагаются ребром против ветра;
- роторные ветродвигатели системы Савониуса.
К третьему классу относятся ветродвигатели, работающие по принципу водяного мельничного колеса и называемые барабанными. У этих ветродвигателей ось вращения горизонтальна и перпендикулярна направлению ветра.
Основные недостатки карусельных и барабанных ветродвигателей вытекают из самого принципа расположения рабочих поверхностей ветроколеса в потоке ветра, а именно:
- Так как рабочие лопасти колеса перемещаются в направлении воздушного потока, ветровая нагрузка действует не одновременно на все лопасти, а поочерёдно. В результате каждая лопасть испытывает прерывную нагрузку, коэффициент использования энергии ветра получается весьма низким и не превышает 10%, что установлено экспериментальными исследованиями.
- Движение поверхностей ветроколеса в направлении ветра не позволяет развить большие обороты, так как поверхности не могут двигаться быстрее ветра.
- Размеры используемой части воздушного потока (ометаемая поверхность) малы по сравнению с размерами самого колеса, что значительно увеличивает его вес, отнесённый к единице установленной мощности ветродвигателя.
У роторных ветродвигателей системы Савониуса наибольший коэффициент использования энергии ветра 18%.
Крыльчатые ветродвигатели свободны от перечисленных выше недостатков карусельных и барабанных ветродвигателей. Хорошие аэродинамические качества крыльчатых ветродвигателей, конструктивная возможность изготовлять их на большую мощность, относительно лёгкий вес на единицу мощности – основные преимущества ветродвигателей этого класса.
Коммерческое применение крыльчатых ветродвигателей началось с 1980 года. За последние 14 лет мощность ветродвигателей увеличилась в 100 раз: от 20-60 кВт при диаметре ротора около 20 м в начале 1980 годов до 5000 кВт при диаметре ротора свыше 100 м к 2003 году. Некоторые прототипы ветродвигателей имеют еще большие мощность и диаметр ротора. За тот же период стоимость генерируемой ветряками энергии снизилась на 80 %. Зависимость стоимости электроэнергии от мощности ветродвигателей при их расположении на побережье и вдали от моря представлена на рис. 6.2.3 (в ценах 2001 г.).
Ветроэнергетический кадастр
Ветер возникает вследствие неравномерного горизонтального распределения давления, которое, в свою очередь, обусловлено неравенством температур в атмосфере. Под действием перепада давления воздух испытывает ускорение, направленное от высокого давления к низкому. Однако вместе с возникновением движения воздуха на него начинают действовать другие силы: отклоняющая сила вращения Земли (сила Кориолиса), сила трения, а при криволинейных траекториях и центробежная сила. Ветер характеризуется скоростью и направлением.
К глобальным ветрам относятся пассаты и западный ветер. Пассаты образуются в результате нагрева экваториальной части земли. Нагретый воздух поднимается вверх, увлекая за собой воздушные массы с севера и юга. Вращение земли отклоняет потоки воздуха. В результате устанавливаются дующие круглый год с постоянной силой северо-восточный пассат в северном полушарии и юго-восточный — в южном. Сила пассатного ветра обычно составляет 2–3 балла. Западный ветер дует круглый год с запада на восток в полосе от 40 до 60° южной широты вдоль кромки дрейфующих льдов Антарктиды. Сила этого ветра достигает 8–10 баллов и редко бывает менее 5 баллов.
В глубине материка нет постоянного направления ветра. Так как разные участки суши в разное время года нагреваются по-разному, можно говорить только о преимущественном сезонном направлении ветра.
К местным ветрам относятся бризы. Бризы — это легкие ветры, окаймляющие берега материков и больших островов, вызываемые суточными колебаниями температуры. Их периодичность обусловлена различием температур суши и моря днем и ночью. Днем суша нагревается быстрее и сильнее, чем море. Теплый воздух поднимается над береговой полосой, а на его место устремляется прохладный воздух с моря — морской бриз. Ночью берег охлаждается быстрее и сильнее, чем море, поэтому теплый воздух поднимается над морем, а его замещает холодный воздух с суши — береговой бриз.
Вторыми, постоянно дующими ветрами, являются муссоны. Эти ветры дуют в Индийском океане и связаны с сезонным изменением температуры материка и океана. Летом солнечные лучи сильнее нагревают сушу и ветер дует с моря на сушу. Зимой муссон дует с суши на море. Вращение земли вызывает появление сил Кориолиса, которые отклоняют муссоны вправо. Поэтому летом дуют юго-западные муссоны, а зимой — северо-восточные.
Для систематизации характеристик ветровой обстановки в конкретном регионе с целью ее эффективного энергетического использования разрабатывается ветроэнергетический кадастр, представляющий собой совокупность аэрологических и энергетических характеристик ветра, позволяющих определить его энергетическую ценность, а также оптимальные параметры и режимы работы ветроэнергетических установок.
Основными характеристиками ветроэнергетического кадастра являются:
- среднегодовая скорость ветра, годовой и суточный ход ветра;
- повторяемость скоростей;
- максимальная скорость ветра;
- распределение ветровых периодов и периодов энергетических затиший по длительности;
- удельная мощность и удельная энергия ветра;
- ветроэнергетические ресурсы региона.
Основной характеристикой ветра является его средняя скорость за определенный период времени (сутки, месяц, год). Средняя скорость ветра определяется как среднеарифметическое значение ряда замеров скорости, сделанных через равные интервалы времени в течение заданного периода. Скорость ветра возрастает с увеличением высоты над поверхностью Земли. Самые мощные и наиболее постоянные потоки ветра находятся на очень большой высоте. Примерно две трети всей ветровой энергии на планете скапливается в верхних слоях тропосферы, далеко за пределами досягаемости современных ветровых электростанций.
Суточный ход средней скорости ветра представляет собой изменение скорости ветра в течение суток, усредненное по всем суткам в определенном месяце по многолетним наблюдениям.
Годовой ход средней скорости ветра — это изменение в течение года многолетней среднемесячной скорости ветра.
При определении ресурсов ветровой энергии учитываются валовый, технический и экономический потенциалы.
Валовый (теоретический) потенциал ветровой энергии региона — это среднемноголетняя суммарная ветровая энергия движения воздушных масс над данной территорией в течение одного года, которая доступна для использования.
Технический потенциал ветровой энергии региона — это суммарная электрическая энергия, которая может быть получена в регионе от использования валового потенциала ветровой энергии при современном уровне развития технических средств и соблюдении экологических ограничений.
Экономический потенциал ветровой энергии региона — это величина годового поступления электрической энергии в регионе от использования ветроэлектрических установок, получение которой экономически оправдано при существующем уровне цен на производство, транспортировку и потребление энергии и топлива и соблюдении экологических норм.
Экономический потенциал ветровой энергии России составляет 10 млн т у. т./год. На рис. 3.7 представлена карта ветроэнергетических ресурсов.

зоны со среднегодовыми скоростями ветра: 1 — более 5 м/с; 2 — от 3 до 5 м/с; 3 — до 3 м/с
К достоинствам ветровой энергии, прежде всего, следует отнести доступность, повсеместное распространение и практически неисчерпаемость ресурсов. Источник энергии не нужно добывать и транспортировать к месту потребления: ветер сам поступает к установленному на его пути ветродвигателю. Эта особенность ветра чрезвычайно важна для труднодоступных (арктических, степных, пустынных, горных и т. п.) районов, удаленных от источников централизованного энергоснабжения, и для относительно мелких (мощностью до 100 кВт) потребителей энергии, рассредоточенных на обширных пространствах.
Основное препятствие к использованию ветра как энергетического источника — непостоянство его скорости, а следовательно, и энергии во времени. Существует опасность нарушения работы общей энергосистемы в том случае, если в ней будет присутствовать значительная доля электроэнергии, получаемой от ВЭС. Нестабильность ветра вынуждает устанавливать резервные источники энергии, которые бы могли в нужный момент компенсировать недостающую часть электроэнергии. В качестве примера такого резерва можно привести газотурбинные электростанции либо аккумуляторы. Все это приводит к повышению стоимости ветровой электроэнергии.
Происхождение ветра, ветровые зоны России
Основной причиной возникновения ветра является неравномерное нагревание солнцем земной поверхности.
Земная поверхность неоднородна: суша, океаны, горы, леса обусловливают различное нагревание поверхности под одной и той же широтой. Вращение Земли также вызывает отклонения воздушных течений. Все эти причины осложняют общую циркуляцию атмосферы. Возникает ряд отдельных циркуляции, в той или иной степени связанных друг с другом.
На экваторе у земной поверхности лежит зона затишья со слабыми переменными ветрами. На север и на юг от зоны затишья расположены зоны пассатов, которые вследствие вращения Земли с запада на восток имеют отклонение к западу. Таким образом, в северном полушарии постоянные ветры приходят с северо-востока, в южном с юго-востока, как показано на схеме рис. 6.1.1. Пассаты простираются примерно до 30° северной и южной широт и отличаются равномерностью воздушных течений по направлению и скорости. Средняя скорость юго-восточных пассатов северного полушария у поверхности земли достигает 6-8 м/сек. Эти ветры вблизи больших континентов нарушаются сильными годовыми колебаниями температуры и давления над материками. Высота слоя пассатов простирается от 1 до 4 км. Выше над пассатами находится слой переменных ветров, а над этим слоем находится зона антипассатов, дующих в направлении, противоположном направлению пассатов. Высота слоя антипассатов меняется от 4 до 8 км в зависимости от времени года и от места.

В субтропических широтах в поясах высокого давления зоны пассатов сменяются штилевыми областями. К северу и югу от этих областей приблизительно до 70°на всех высотах дуют ветры между западным и юго-западным румбами в северном полушарии и между западным и северо-западным — в южном полушарии. В этих широтах, кроме того, в атмосфере непрерывно возникают и затухают вихревые движения, усложняющие простую схему общей циркуляции атмосферы, показанную на рис. 6.1.1.
Местные ветры
Особые местные условия рельефа земной поверхности (моря, горы и т. п.) вызывают местные ветры.
Бризы
Вследствие изменения температур днём и ночью возникают береговые морские ветры, которые называются бризами.
Днём при солнечной погоде суша нагревается сильнее, чем поверхность моря, поэтому нагретый воздух становится менее плотным и поднимается вверх. Вместе с этим более холодный морской воздух устремляется на сушу, образуя морской береговой ветер. Поднимающийся над сушей воздух течёт в верхнем слое в сторону моря и на некотором расстоянии от берега опускается вниз.
Таким образом возникает циркуляция воздуха с направлением внизу – на берег моря, вверху – от суши к морю. Ночью над сушей воздух охлаждается сильнее, чем над морем, поэтому направление циркуляции изменяется: внизу воздух течёт на море, а вверху с моря на сушу. Зона распространения бриза около 40 км в сторону моря и 40 км в сторону суши. Высота распространения бризов в наших широтах достигает от 200 до 300 м. В тропических странах бризы наблюдаются почти в течение всего года, а в умеренном поясе только летом, при жаркой погоде. У нас бризы можно наблюдать летом у берегов Чёрного и Каспийского морей.
Муссоны
Годовые изменения температуры в береговых районах больших морей и океанов также вызывают циркуляцию, аналогичную бризам, но с годовым периодом. Эта циркуляция, более крупного размера, чем бризы,. называется муссонами. Возникают муссоны по следующим причинам. Летом континент нагревается сильнее, чем окружающие его моря и океаны; благодаря этому над континентом образуется пониженное давление, в воздух внизу устремляется к континенту от океанов, а вверху наоборот, течёт от континентов к окружающим океанам. Эти ветры носят название морских муссонов. Зимой континенты значительно холоднее, чем поверхность моря; над ними образуется область повышенного давления; вследствие этого нижние слои воздуха направляются от континента к океанам, а в верхних слоях – наоборот, от океанов к континентам. Эти ветры называются материковыми муссонами.
Сильные муссоны можно наблюдать на южном побережье Азии – в Индийском океане и Аравийском море, где летом они имеют юго-западное направление, а зимой – северо-восточное. У восточных берегов Азии также наблюдаются муссоны. Зимою дуют суровые северозападные материковые ветры; летом юго-восточные и южные морские влажные ветры. Эти ветры значительно влияют на климат Дальневосточного края.
Различные зоны страны имеют ветровые режимы, сильно отличающиеся один от другого. Значение среднегодовой скорости ветра в данном районе дает возможность приближенно судить о целесообразности использования ветродвигателя и об эффективности агрегата. Карта ветроэнергетических ресурсов России представлена на рис. 6.1.2.

Прибрежные зоны северной части страны, Каспийское побережье и северная часть Сахалина отличаются, как это видно на карте, высокой интенсивностью ветрового режима. Здесь среднегодовые скорости ветра превышают 6 м/сек. В этих районах часто наблюдаются ураганные ветры (выше 30 м/сек), которые сопровождаются снежными метелями и буранами. Поэтому в указанной зоне можно использовать только агрегаты с ветродвигателями высокой быстроходности (двух-трехлопастные), прочность которых рассчитана на ветровые нагрузки при скоростях ветра 40 м/сек. В Арктике и на побережье наиболее эффективно применение ветроэлектрических станций, работающих совместно с тепловым резервом, а также небольших ветроэлектрических агрегатов.
Большинство областей европейской части России относятся к зоне средней интенсивности ветра. В этих районах среднегодовая скорость ветра составляет от 3,5 до 6 м/сек. К этой же зоне относится часть территории, лежащая юго-восточнее озера Байкал.
Третья зона занимает обширную территорию Восточной Сибири и Дальнего Востока, некоторых областей европейской части России. В этой зоне скорости ветра относительно невелики – до 3,5 м/с, и широкое применение здесь ветроэнергетических установок не рекомендуется.
